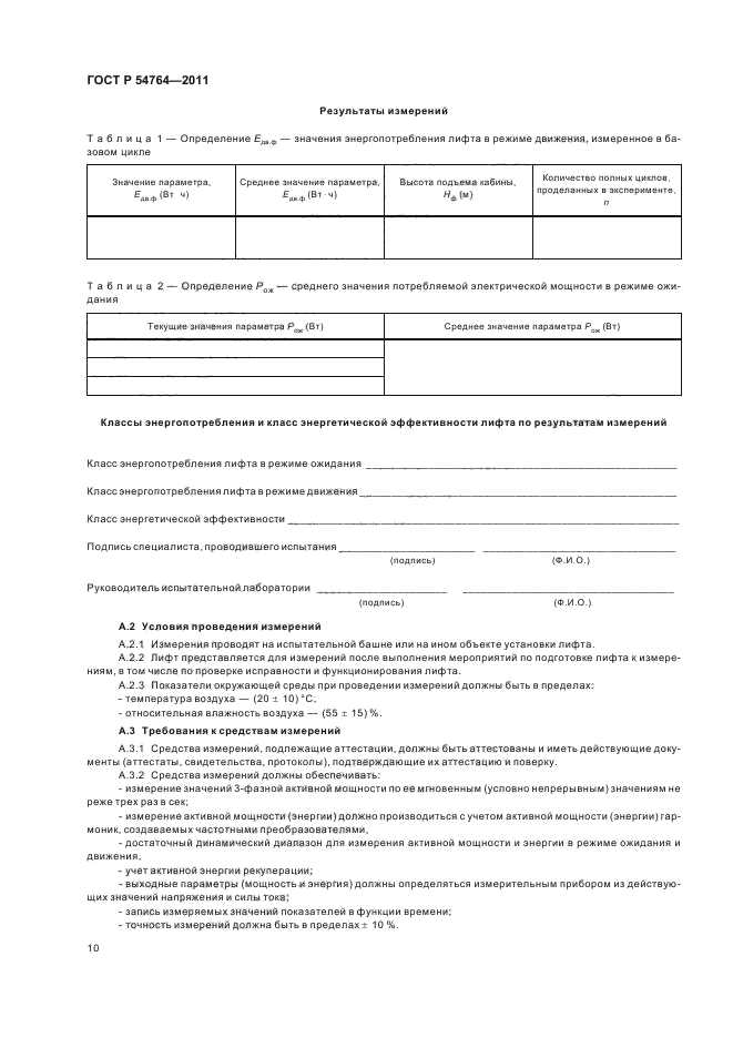
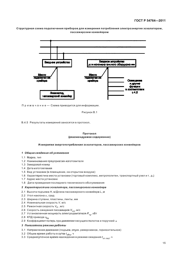
| ||||||||||||||||||||||||||||||||||
Скачать ГОСТ Р 54764-2011 Лифты и эскалаторы. Энергетическая эффективностьДата актуализации: 01.06.2025
| ||||||||||||||||||||||||||||||||||
| Обозначение: | ![]() ГОСТ Р 54764-2011 |
| Статус: | заменён |
| Название рус.: | Лифты и эскалаторы. Энергетическая эффективность |
| Название англ.: | Lifts and escalators. Energy efficiency |
| Дата актуализации текста: | 06.04.2015 |
| Дата актуализации описания: | 01.12.2024 |
| Дата издания: | 23.05.2012 |
| Дата введения: | 01.07.2012 |
| Дата окончания срока действия: | 01.01.2016 |
| Код ОКП: | 483600 |
| Заменяющий в части: | ГОСТ Р 56420.1-2015 в части методов измерений и контрольных проверок; ГОСТ Р 56420.2-2015 в части расчета энергопотребления и классификации энергетической эффективности лифтов; ГОСТ Р 56420.3-2015 в части расчета энергопотребления и классификации энергетической эффективности эскалаторов и пассажирских конвейеров |
| Нормативные ссылки: | ГОСТ Р 53780-2010 |
| Область применения: | Настоящий стандарт распространяется на лифты и эскалаторы и устанавливает методы измерения и оценки энергопотребления лифтов, эскалаторов и пассажирских конвейеров, методы определения класса энергетической эффективности лифтов. Настоящий стандарт распространяется на новые лифты, выпускаемые в обращение на территории Российской Федерации. Настоящий стандарт может быть использован для оценки энергопотребления вводимых в эксплуатацию лифтов, эскалаторов и пассажирских конвейеров и при оценке энергетической эффективности жилищного фонда, зданий и сооружений, в которых установлены лифты, эскалаторы, пассажирские конвейеры. Настоящий стандарт может быть использован для оценки повышения энергетической эффективности при модернизации, замене отработавших назначенный срок службы лифтов, эскалаторов, пассажирских конвейеров |
| Расположен в: | |























