| Обозначение: |  ГОСТ Р ИСО 20282-1-2011 |
| Статус: | действующий |
| Название рус.: | Эргономика изделий повседневного использования. Часть 1. Требования к конструкции элементов управления с учетом условий использования и характеристик пользователя |
| Название англ.: | Ergonomics of everyday products. Part 1. Design requirements for controls with respect to context of use and user characteristics |
| Дата актуализации текста: | 06.04.2015 |
| Дата актуализации описания: | 01.01.2021 |
| Дата издания: | 27.08.2019 |
| Дата введения: | 01.12.2012 |
| Аутентичен стандартам: | ISO 20282-1:2006 |
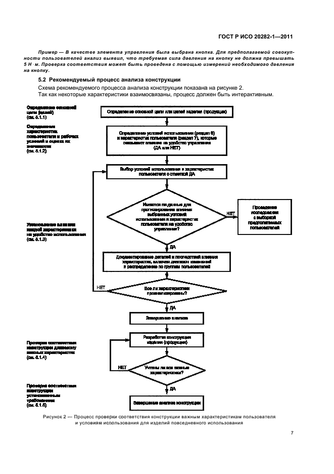
| Область применения: | Настоящий стандарт устанавливает требования к разработке удобных в управлении изделий повседневного использования с учетом характеристик пользователей и условий использования в тех случаях, когда удобство управления пользовательским интерфейсом характеризуют таким показателем как пригодность использования. В стандарте приведены также рекомендации по выполнению этих требований. Настоящий стандарт предназначен для применения при разработке изделий повседневного использования, для которых в стандарте: - определено понятие удобства управления; - установлены важные аспекты условий использования; - установлены характеристики предполагаемой совокупности пользователей, влияющие на пригодность использования |
|
| Расположен в: |
|