| Обозначение: |  ГОСТ Р 54506-2011 |
| Статус: | действующий |
| Название рус.: | Классификация химической продукции, опасность которой обусловлена физико-химическими свойствами. Метод испытания на возгорание в замкнутом пространстве |
| Название англ.: | Classification of chemicals hazardous due to their physical and chemical properties. Test method for ignition in a confined space |
| Дата актуализации текста: | 01.01.2021 |
| Дата актуализации описания: | 01.07.2023 |
| Дата издания: | 26.09.2019 |
| Дата введения: | 01.01.2012 |
| Нормативные ссылки: | ГОСТ 32423-2013; ГОСТ 32419-2013; ГОСТ Р 53854; ГОСТ Р 53856; ГОСТ Р 54507; ГОСТ 12.1.004; ГОСТ 12.1.044; ГОСТ 9980.4; ГОСТ 17527; ГОСТ 19433; ГОСТ 20231; ГОСТ 21391; ГОСТ 31340 |
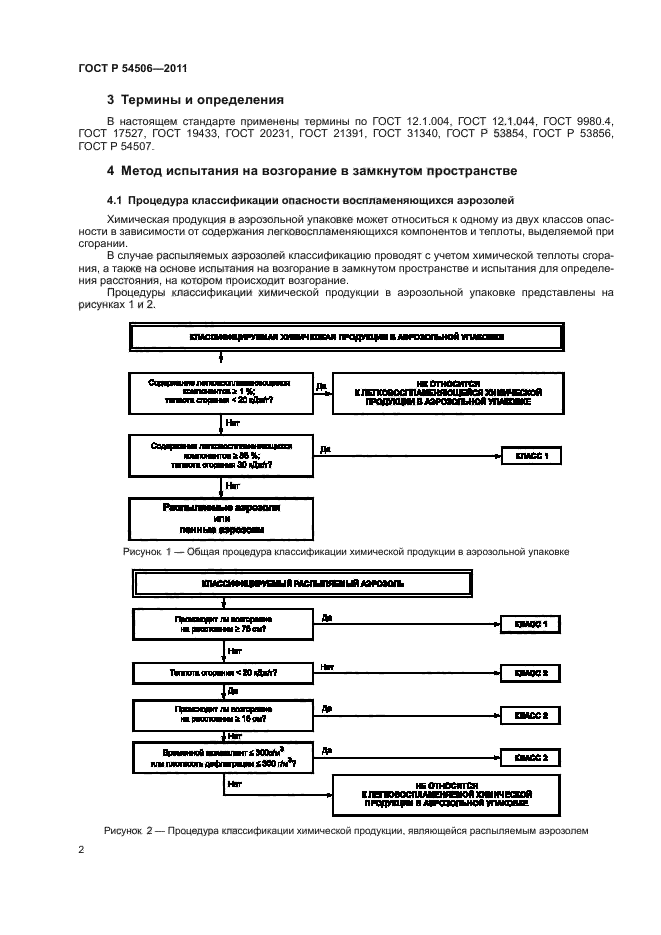
| Область применения: | Настоящий стандарт определяет процедуру и метод испытания на возгорание в замкнутом пространстве химических продуктов, находящихся в обращении в аэрозольных упаковках |
|
| Расположен в: |
|