| ||||||||||||||||||||||||||||||||||||
Скачать ГОСТ Р 54153-2010 Сталь. Метод атомно-эмиссионного спектрального анализаДата актуализации: 01.06.2025
| ||||||||||||||||||||||||||||||||||||
| Обозначение: | ![]() ГОСТ Р 54153-2010 |
| Статус: | действующий |
| Название рус.: | Сталь. Метод атомно-эмиссионного спектрального анализа |
| Название англ.: | Steel. Method of atomic emission spectral analysis |
| Дата актуализации текста: | 01.12.2024 |
| Дата актуализации описания: | 01.07.2023 |
| Дата издания: | 27.01.2012 |
| Дата введения: | 01.01.2012 |
| Код ОКП: | 087000 |
| Нормативные ссылки: | ГОСТ Р 8.563 -2009; ГОСТ Р ИСО 5725-1-2002; ГОСТ Р ИСО 5725-6-2002; ГОСТ Р 52361-2005; ГОСТ Р 52781-2007; ГОСТ 8.315- 97; ГОСТ 12.0.004-90; ГОСТ 12.1.004-91; ГОСТ 12.1.019-2009; ГОСТ 12.4.009-83; ГОСТ 859-2001; ГОСТ 6456-82; ГОСТ 7565-81; ГОСТ 10157-79; ГОСТ 21963-2002;ASTM E 415-08;ASTM E 1086-08;ASTM E 1009-95 |
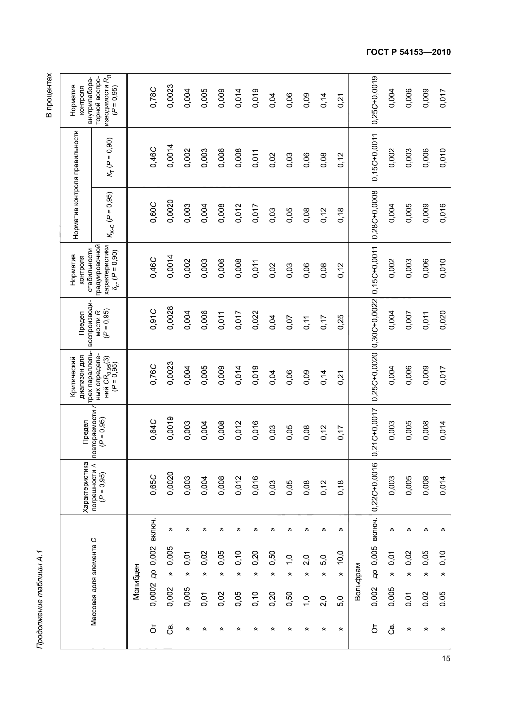
| Область применения: | Настоящий стандарт устанавливает атомно-эмиссионный спектральный метод с фотоэлектрической регистрацией спектра для определения в стали массовой доли элементов |
| Приложение №1: | Поправка к ГОСТ Р 54153-2010 |
| Расположен в: | |

































| Обозначение: | Поправка к ГОСТ Р 54153-2010 |
| Дата введения: | 22.07.2024 |
