Информационная система
«Ёшкин Кот»

Скачать базу одним архивом
Скачать обновления
История создания базы
Карта сайта

Скачать ГОСТ Р 54144-2010 Менеджмент рисков. Руководство по применению организационных мер безопасности и оценки рисков. Идентификация инцидентов

Дата актуализации: 01.06.2025

ГОСТ Р 54144-2010

Менеджмент рисков. Руководство по применению организационных мер безопасности и оценки рисков. Идентификация инцидентов

Обозначение: ГОСТ Р 54144-2010
Статус:действующий
Название рус.:Менеджмент рисков. Руководство по применению организационных мер безопасности и оценки рисков. Идентификация инцидентов
Название англ.:Risk management. Implementation guide for organizational security measures and risk assessment. Incident identification
Дата актуализации текста:01.01.2021
Дата актуализации описания:01.01.2021
Дата издания:31.07.2020
Дата введения:01.09.2011
Нормативные ссылки:ГОСТ Р 51897
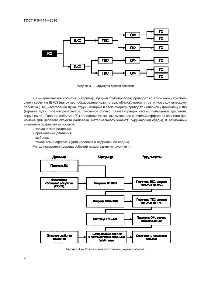
Область применения:Настоящий стандарт устанавливает методологию технического регулирования и оценки рисков для промышленных инцидентов с серьезными последствиями, предназначенную для характеристики уровня риска с интегрированным индексом риска, включающим независимые параметры, связанные с оценкой последующей серьезности развития сценариев, эффективностью превентивного менеджмента и оценкой подверженности (уязвимости) окружающей среды, описывая чувствительность потенциальных объектов, потенциально подверженных негативному воздействию. Настоящий стандарт предназначен для использования на предприятиях, на которых вредные вещества присутствуют в количествах, способных нанести существенный вред здоровью людей или состоянию окружающей среды
Расположен в:Государственные стандарты Общероссийский классификатор стандартов Услуги. Организация фирм, управление и качество. Администрация. Транспорт. Социология. Организация фирм и управление ими Производство. Управление производством Классификатор государственных стандартов Общетехнические и организационно-методические стандарты Система документации Система стандартов в области охраны природы и улучшения использования природных ресурсов, безопасности труда, научной организации труда
ГОСТ Р 54144-2010ГОСТ Р 54144-2010ГОСТ Р 54144-2010ГОСТ Р 54144-2010ГОСТ Р 54144-2010ГОСТ Р 54144-2010ГОСТ Р 54144-2010ГОСТ Р 54144-2010ГОСТ Р 54144-2010ГОСТ Р 54144-2010ГОСТ Р 54144-2010ГОСТ Р 54144-2010ГОСТ Р 54144-2010ГОСТ Р 54144-2010ГОСТ Р 54144-2010ГОСТ Р 54144-2010ГОСТ Р 54144-2010ГОСТ Р 54144-2010ГОСТ Р 54144-2010ГОСТ Р 54144-2010ГОСТ Р 54144-2010ГОСТ Р 54144-2010ГОСТ Р 54144-2010ГОСТ Р 54144-2010ГОСТ Р 54144-2010ГОСТ Р 54144-2010ГОСТ Р 54144-2010ГОСТ Р 54144-2010

© 2013 Ёшкин Кот :-) Карта сайта