| Обозначение: |  ГОСТ Р ИСО 26382-2011 |
| Статус: | действующий |
| Название рус.: | Установки когенераторные. Общие технические требования |
| Название англ.: | Cogeneration systems. General technical requirements |
| Дата актуализации текста: | 06.04.2015 |
| Дата актуализации описания: | 01.07.2023 |
| Дата издания: | 29.02.2012 |
| Дата введения: | 01.06.2012 |
| Код ОКП: | 311120 |
| Аутентичен стандартам: | ISO 26382:2010 |
| Нормативные ссылки: | ISO 15663-1:2000;ISO 15663-2:2001 |
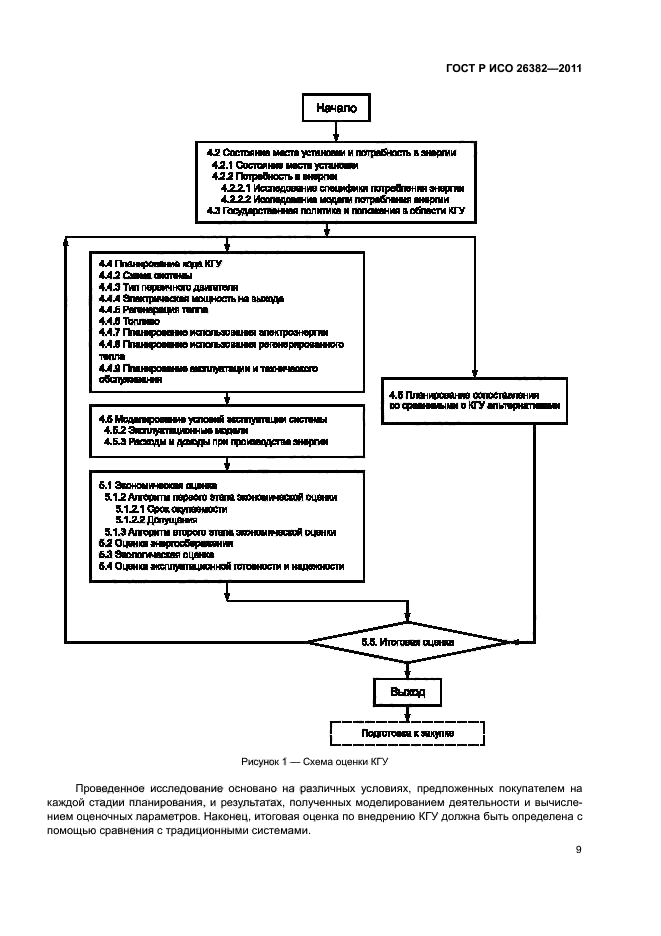
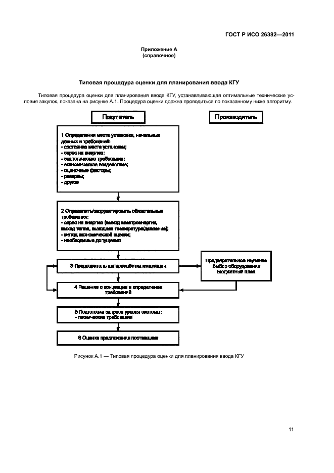
| Область применения: | Настоящий стандарт распространяется на когенераторные установки газотурбинных установок. Настоящий стандарт устанавливает аспекты исследования для оценки проекта, оценки когенераторных установок и первичных сведений для закупки когенераторных установок, а также необходимые контрольные показатели в процессе планирования применения когенераторных установок, обеспечивает процедуру достижения удовлетворяющей конфигурации когенераторных установок для каждого проекта и включает подробную схему этапов в процессе развития проекта |
|
| Расположен в: |
|