| Обозначение: |  ГОСТ Р 54164-2010 |
| Статус: | отменён |
| Название рус.: | Стекло и изделия из него. Методы определения оптических характеристик. Определение световых и солнечных характеристик |
| Название англ.: | Glass and glass products. Optical characteristics determination methods. Determination of luminous and solar characteristics |
| Дата актуализации текста: | 06.04.2015 |
| Дата актуализации описания: | 01.07.2023 |
| Дата издания: | 26.03.2012 |
| Дата введения: | 01.07.2012 |
| Дата окончания срока действия: | 01.04.2016 |
| Содержит требования: | ISO 9050:2003 |
| На территории РФ пользоваться: | ГОСТ EN 410-2014 |
| Нормативные ссылки: | ГОСТ Р 54166-2010; ГОСТ Р 54165-2010; ГОСТ Р 54168-2010 |
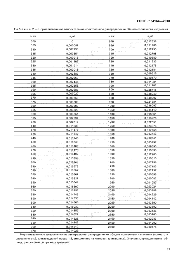
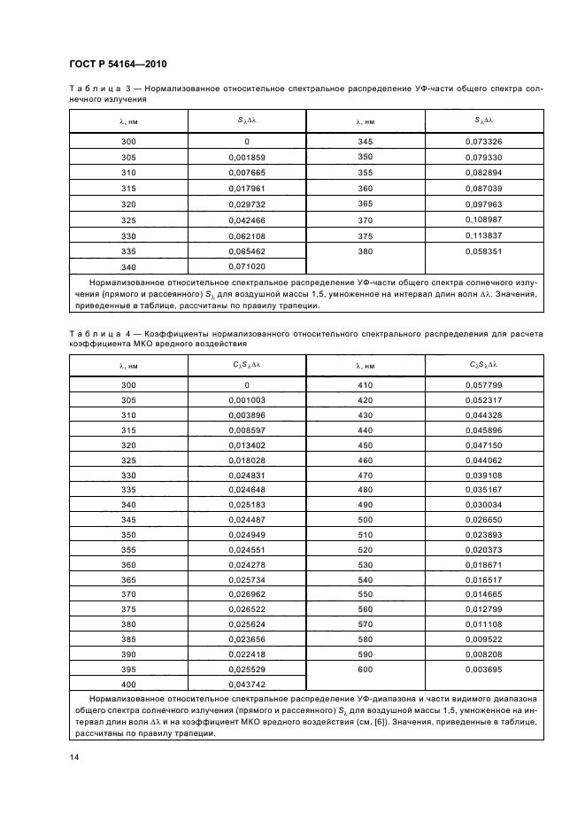
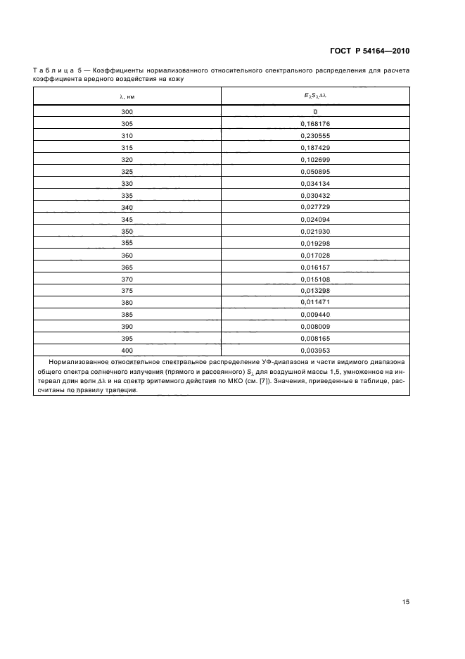
| Область применения: | Настоящий стандарт устанавливает методы определения световых и солнечных характеристик остекления зданий, сооружений, средств транспорта, а также различных видов стекла и изделий из него. Значения этих характеристик могут служить основой для расчетов уровня освещенности, обогрева и вентиляции помещений и для сравнительной оценки различных типов остекления. Настоящий стандарт распространяется на обычное и солнцезащитное (поглощающее или отражающее солнечное излучение) остекление, применяемое для остекления световых проемов. Приведены соответствующие формулы для одинарного, двойного и тройного остекления. Кроме того, установлены общие методы расчета для остекления, состоящего из большего количества слоев |
| Список изменений: | №0 от 31.03.2016 (рег. 14.04.2015) «Текстовое изменение; Изменено заглавие» |
|
| Расположен в: |
|