| Обозначение: |  ГОСТ Р 54097-2010 |
| Статус: | отменён |
| Название рус.: | Ресурсосбережение. Наилучшие доступные технологии. Методология идентификации |
| Название англ.: | Resources saving. Best аvailable techniques. Identification methodology |
| Дата актуализации текста: | 06.04.2015 |
| Дата актуализации описания: | 01.07.2023 |
| Дата издания: | 02.12.2011 |
| Дата введения: | 01.01.2012 |
| Дата окончания срока действия: | 01.08.2016 |
| На территории РФ пользоваться: | ГОСТ 33570-2015 |
| Нормативные ссылки: | ГОСТ Р ИСО 9000-2008; ГОСТ Р ИСО 14050-2009;Directive 2008/1/ЕС |
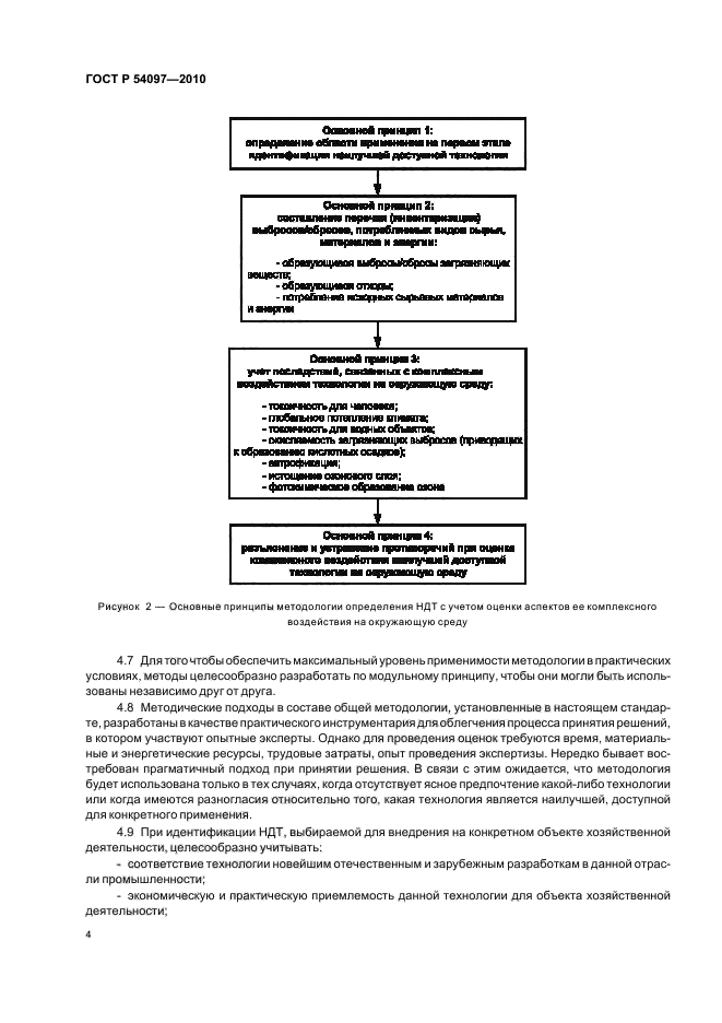
| Область применения: | Настоящий стандарт устанавливает положения и требования к методологии идентификации наилучших доступных технологий, в соответствии с которыми хозяйствующий субъект (юридическое лицо или индивидуальный предприниматель) добивается ресурсо- и энергосбережения с одновременным снижением техногенной нагрузки на окружающую среду. Настоящий стандарт распространяется на любые технологические решения, применяемые в процессах хозяйственной деятельности. Настоящий стандарт не распространяется на оборонную продукцию и ядерные объекты. Настоящий стандарт рекомендуется использовать во всех видах документации и литературы, относящихся к сфере защиты окружающей среды в процессах хозяйственной деятельности |
| Список изменений: | №0 от 31.07.2016 (рег. 12.11.2015) «Текстовое изменение; Изменено заглавие» |
|
| Расположен в: |
|