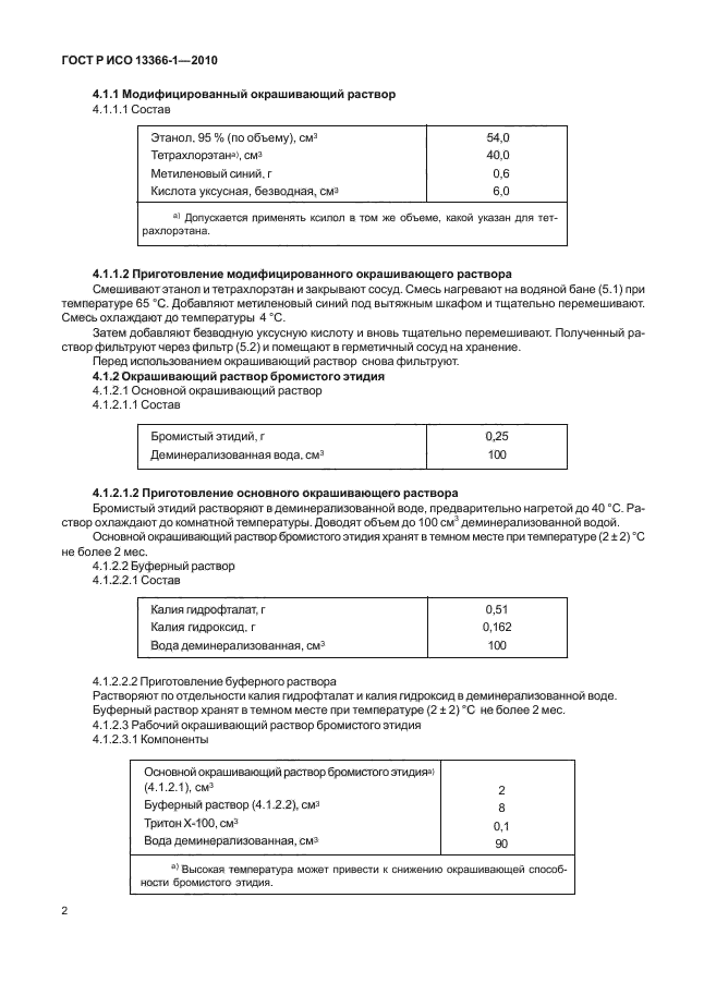
| Обозначение: |  ГОСТ Р ИСО 13366-1-2010 |
| Статус: | отменён |
| Название рус.: | Молоко. Подсчет соматических клеток. Часть 1. Метод с применением микроскопа (Контрольный метод) |
| Название англ.: | Milk. Enumeration of somatic cells. Part 1. Microscopic method (Reference method) |
| Дата актуализации текста: | 06.04.2015 |
| Дата актуализации описания: | 01.07.2023 |
| Дата издания: | 20.10.2011 |
| Дата введения: | 01.01.2012 |
| Дата окончания срока действия: | 01.07.2017 |
| Аутентичен стандартам: | ISO 13366-1:2008 |
| На территории РФ пользоваться: | ГОСТ ISO 13366-1-2014 |
| Область применения: | Настоящий стандарт устанавливает метод подсчета соматических клеток с применением микроскопа в сыром и химически консервированном молоке. Стандарт допускается применять для подготовки стандартных проб при калибровке механизированных и автоматизированных способов подсчета клеток |
| Список изменений: | №0 от 30.06.2017 (рег. 22.09.2016) «Текстовое изменение; Изменено заглавие» |
|
| Расположен в: |
|