| Обозначение: |  ГОСТ Р 53460-2009 |
| Статус: | действующий |
| Название рус.: | Глобальная справочная атмосфера для высот от 0 до 120 км для аэрокосмической практики. Параметры |
| Название англ.: | Global Reference Atmosphere for altitude from 0 up to 120 km for aerospace use. Parameters |
| Дата актуализации текста: | 06.04.2015 |
| Дата актуализации описания: | 01.07.2023 |
| Дата издания: | 14.08.2011 |
| Дата введения: | 01.07.2010 |
| Нормативные ссылки: | ISO 2533:1975;ISO 5878:1982; ГОСТ 4401-81; ГОСТ 24631-81 |
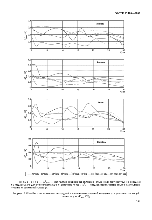
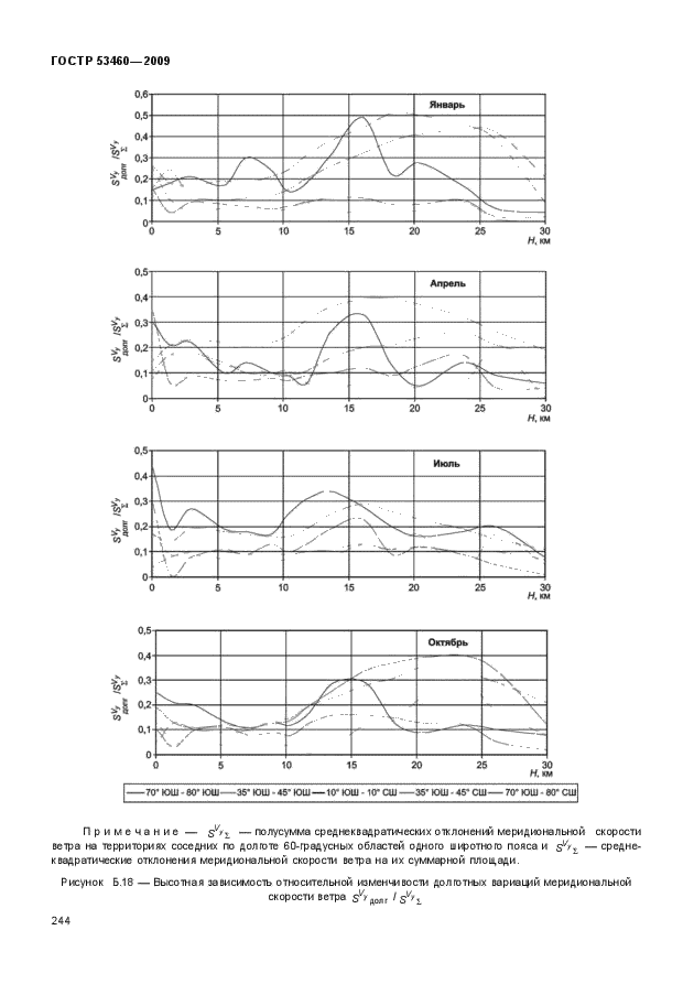
| Область применения: | Настоящий стандарт устанавливает основные качественные и количественные закономерности пространственного (высотного, широтного, долготного) и годового распределения параметров атмосферы в обоих полушариях земли с использованием унифицированных расчетных моделей. Настоящий стандарт распространяется на изделия авиационной и космической техники при проектировании, испытаниях, навигации и эксплуатации, действующие в атмосфере на высотах до 120 км. Настоящий стандарт может быть также применен для других видов техники, использующих информацию о пространственных и временных вариациях параметров атмосферы, а также для контроля состояния атмосферы |
|
| Расположен в: |
|