| ||||||||||||||||||||||||||||||||||||
Скачать ГОСТ Р 54157-2010 Трубы стальные профильные для металлоконструкций. Технические условияДата актуализации: 01.06.2025
| ||||||||||||||||||||||||||||||||||||
| Обозначение: | ![]() ГОСТ Р 54157-2010 |
| Статус: | отменён |
| Название рус.: | Трубы стальные профильные для металлоконструкций. Технические условия |
| Название англ.: | Profile steel pipes for metal constructions. Specifications |
| Дата актуализации текста: | 06.04.2015 |
| Дата актуализации описания: | 01.07.2023 |
| Дата издания: | 17.06.2011 |
| Дата введения: | 01.08.2011 |
| Дата окончания срока действия: | 01.09.2016 |
| Код ОКП: | 131900;134400;135100;137300 |
| На территории РФ пользоваться: | ГОСТ 32931-2015 |
| Нормативные ссылки: | ГОСТ Р ИСО 10332-99; ГОСТ Р 53364-2009; ГОСТ 166-89; ГОСТ 427-75; ГОСТ 1497-84; ГОСТ 3845-75; ГОСТ 6507-90; ГОСТ 7502-98; ГОСТ 7565-81; ГОСТ 7661-67; ГОСТ 8026-92; ГОСТ 9454-78; ГОСТ 10006-80; ГОСТ 10692-80; ГОСТ 16504-81; ГОСТ 18360-93; ГОСТ 22536.0-87; ГОСТ 22536.1-88; ГОСТ 22536.2-87; ГОСТ 22536.3-88; ГОСТ 22536.4-88; ГОСТ 22536.5-87; ГОСТ 22536.6-88; ГОСТ 22536.7-88; ГОСТ 22536.8-87; ГОСТ 22536.9-88; ГОСТ 22536.11-87; ГОСТ 22536.12-88; ГОСТ 26877-91; ГОСТ 28548-90 |
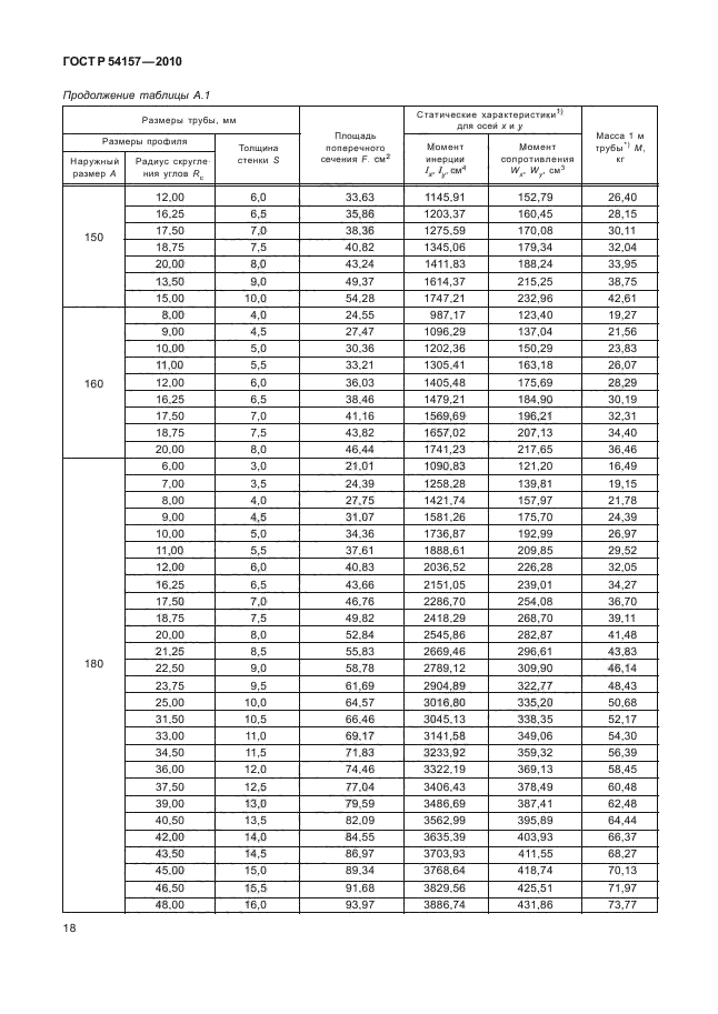
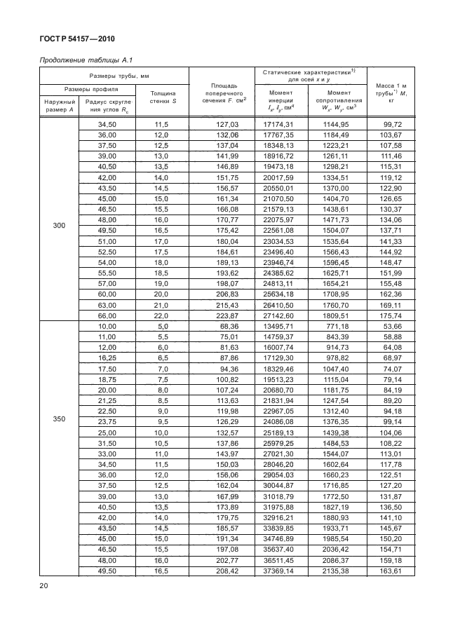
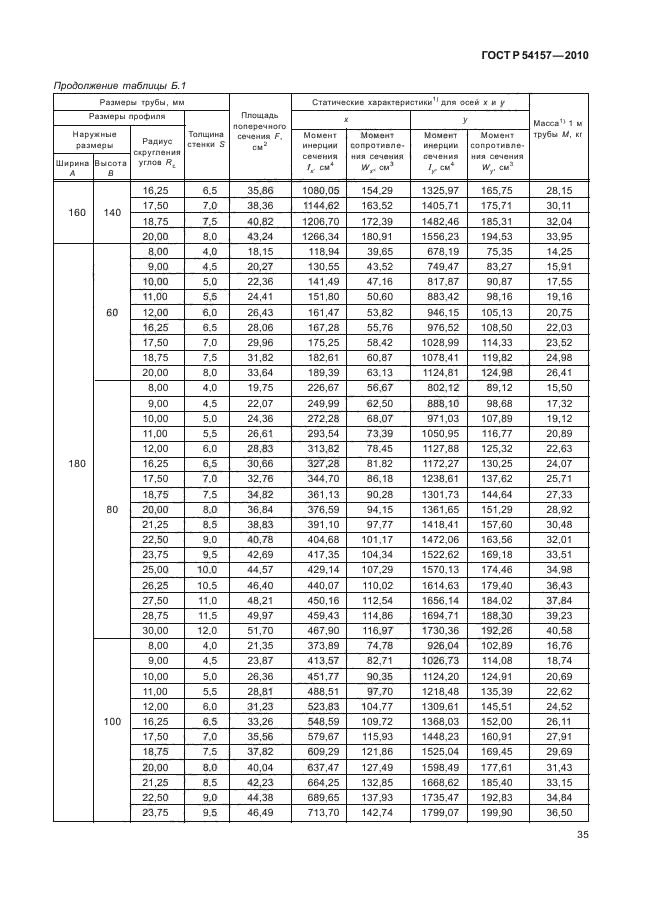
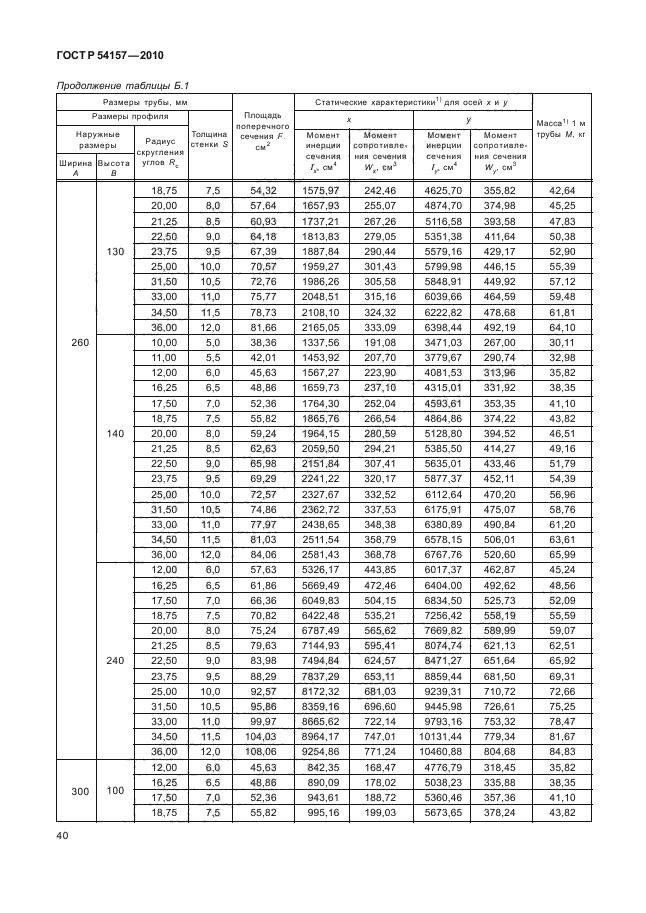
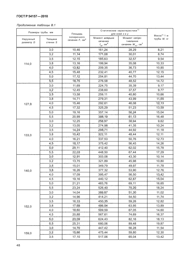
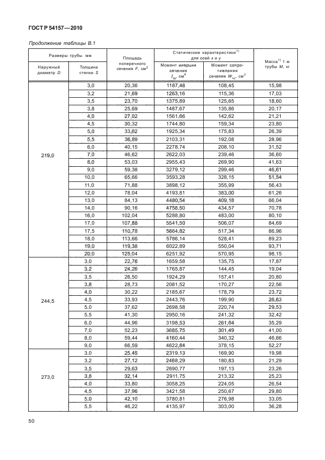
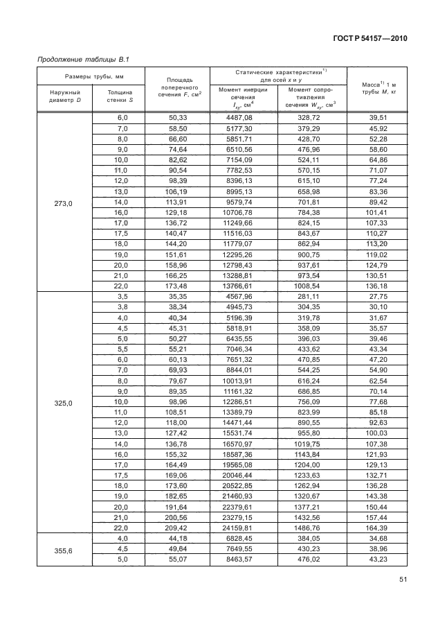
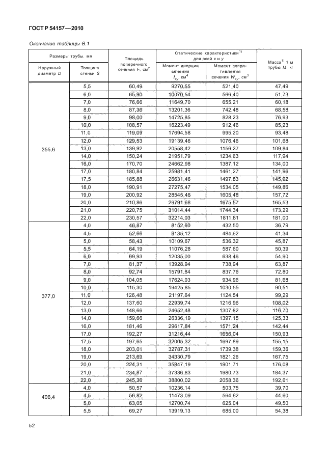
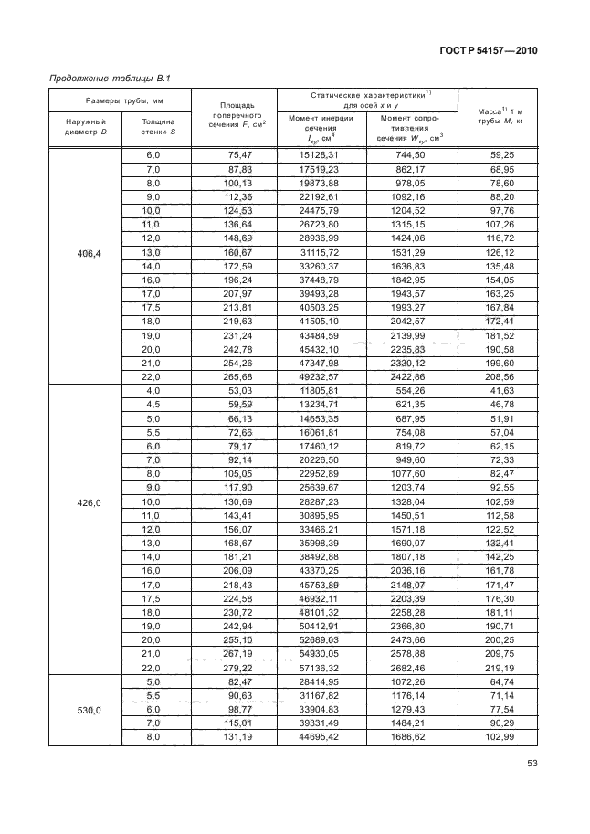
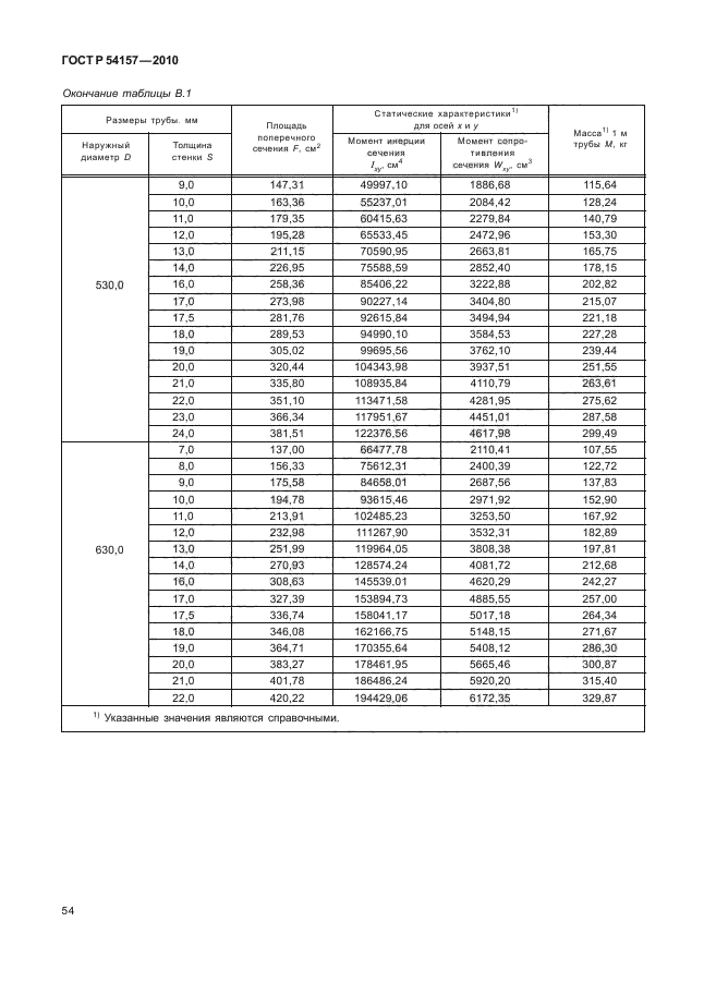
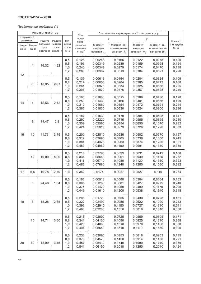
| Область применения: | Настоящий стандарт распространяется на круглые, квадратные, прямоугольные, овальные и плоскоовальные трубы для металлоконструкций из углеродистой и низколегированной стали |
| Список изменений: | №0 от 31.08.2016 (рег. 19.01.2016) «Текстовое изменение; Изменено заглавие» |
| Расположен в: | |









































































