| Обозначение: |  ГОСТ Р 50970-2011 |
| Статус: | действующий |
| Название рус.: | Технические средства организации дорожного движения. Столбики сигнальные дорожные. Общие технические требования. Правила применения |
| Название англ.: | Тгаffic contгol devices. Guide posts. General technical requirements. Application rules |
| Дата актуализации текста: | 01.06.2022 |
| Дата актуализации описания: | 01.07.2023 |
| Дата издания: | 30.10.2019 |
| Дата введения: | 01.09.2011 |
| Код ОКП: | 521000 |
| Взамен: | ГОСТ Р 50970-96 |
| Нормативные ссылки: | ГОСТ Р 41.27; ГОСТ Р 50971; ГОСТ Р 51256; ГОСТ Р 52289; ГОСТ Р 52290; ГОСТ Р 52298; ГОСТ Р 52901; ГОСТ 9.403; ГОСТ 427; ГОСТ 7502; ГОСТ 7721; ГОСТ 14192; ГОСТ 21140; ГОСТ 26633 |
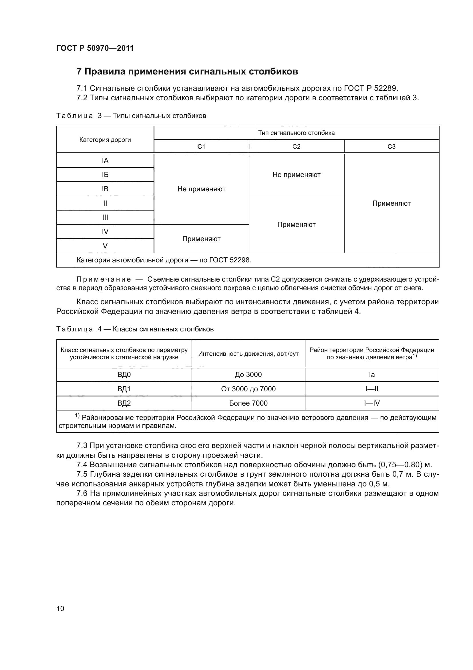
| Область применения: | Настоящий стандарт распространяется на дорожные сигнальные столбики, предназначенные для установки на автомобильных дорогах общего пользования с целью указания направления дороги и границ земляного полотна, устанавливает общие технические требования и правила их применения |
|
| Расположен в: |
|