| Обозначение: |  ГОСТ Р ИСО 14729-2010 |
| Статус: | действующий |
| Название рус.: | Оптика офтальмологическая. Средства ухода за контактными линзами. Микробиологические требования и методы испытаний. Схемы гигиенической обработки контактных линз |
| Название англ.: | Ophthalmic optics. Contact lens care products. Microbiological requirements and test methods. Regimens for hygienic management of contact lenses |
| Дата актуализации текста: | 06.04.2015 |
| Дата актуализации описания: | 01.01.2021 |
| Дата издания: | 26.09.2011 |
| Дата введения: | 01.06.2012 |
| Код ОКП: | 948100 |
| Аутентичен стандартам: | ISO 14729:2001 |
| Нормативные ссылки: | ISO 18369-1:2006 |
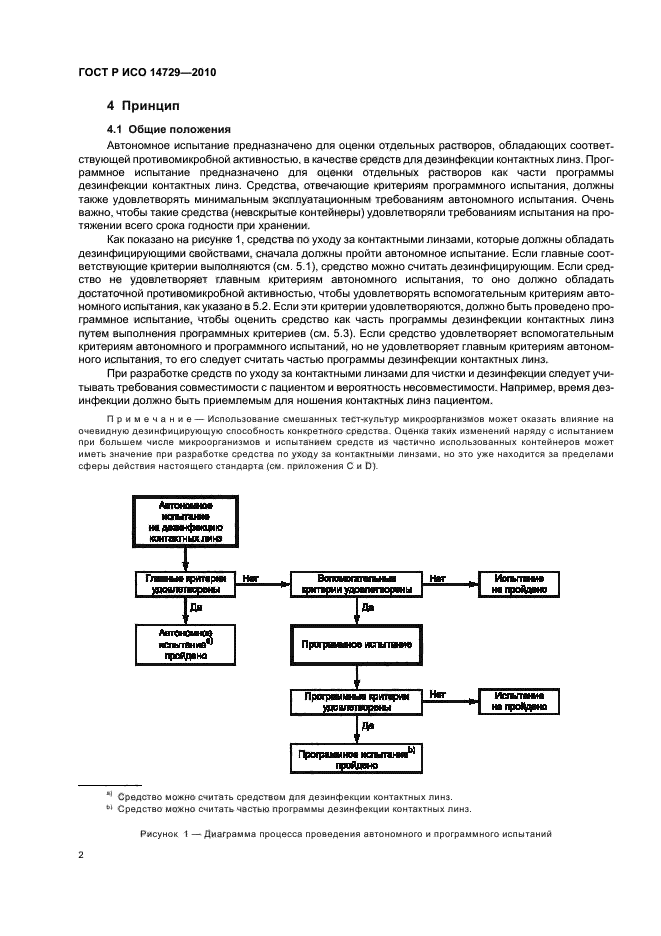
| Область применения: | Настоящий стандарт устанавливает два метода испытаний по оценке антимикробной активности средств, предназначенных для дезинфекции контактных линз химическим способом, и средств, которые являются частью программы ухода за контактными линзами. Настоящий стандарт не применяют к гигиеническому контролю пробных линз |
|
| Расположен в: |
|