Информационная система
«Ёшкин Кот»

Скачать базу одним архивом
Скачать обновления
История создания базы
Карта сайта

Скачать ГОСТ Р 53932-2010 Заготовка трубная. Общие технические условия

Дата актуализации: 01.06.2025

ГОСТ Р 53932-2010

Заготовка трубная. Общие технические условия

Обозначение: ГОСТ Р 53932-2010
Статус:отменён
Название рус.:Заготовка трубная. Общие технические условия
Название англ.:Tube billet. General specifications
Дата актуализации текста:06.04.2015
Дата актуализации описания:01.07.2023
Дата издания:07.06.2011
Дата введения:01.07.2011
Дата окончания срока действия:01.10.2020
Код ОКП:091300;091400
На территории РФ пользоваться:ГОСТ 34636-2020
Нормативные ссылки:ГОСТ 380-2005;ГОСТ 1050-88;ГОСТ 1497-84;ГОСТ 1778-70;ГОСТ 2590-2006;ГОСТ 2789-73;ГОСТ 4543-71;ГОСТ 5639-82;ГОСТ 7564-97;ГОСТ 7565-81;ГОСТ 7566-94;ГОСТ 9454-78;ГОСТ 10243-75;ГОСТ 12344-2003;ГОСТ 12345-2001;ГОСТ 12346-78;ГОСТ 12347-77;ГОСТ 12348-78;ГОСТ 12349-83;ГОСТ 12350-78;ГОСТ 12351-2003;ГОСТ 12352-81;ГОСТ 12354-81;ГОСТ 12355-78;ГОСТ 12356-81;ГОСТ 12357-84;ГОСТ 12359-99;ГОСТ 12361-2002;ГОСТ 14959-79;ГОСТ 17745-90;ГОСТ 18895-97;ГОСТ 19281-89;ГОСТ 20072-74;ГОСТ 21120-75;ГОСТ 22536.0-87;ГОСТ 22536.1-88;ГОСТ 22536.2-87;ГОСТ 22536.3-88;ГОСТ 22536.4-88;ГОСТ 22536.5-87;ГОСТ 22536.6-88;ГОСТ 22536.7-88;ГОСТ 22536.8-87;ГОСТ 22536.9-88;ГОСТ 22536.10-88;ГОСТ 22536.11-87;ГОСТ 22536.12-88;ГОСТ 26877-91;ГОСТ 28033-89;ГОСТ 28473-90
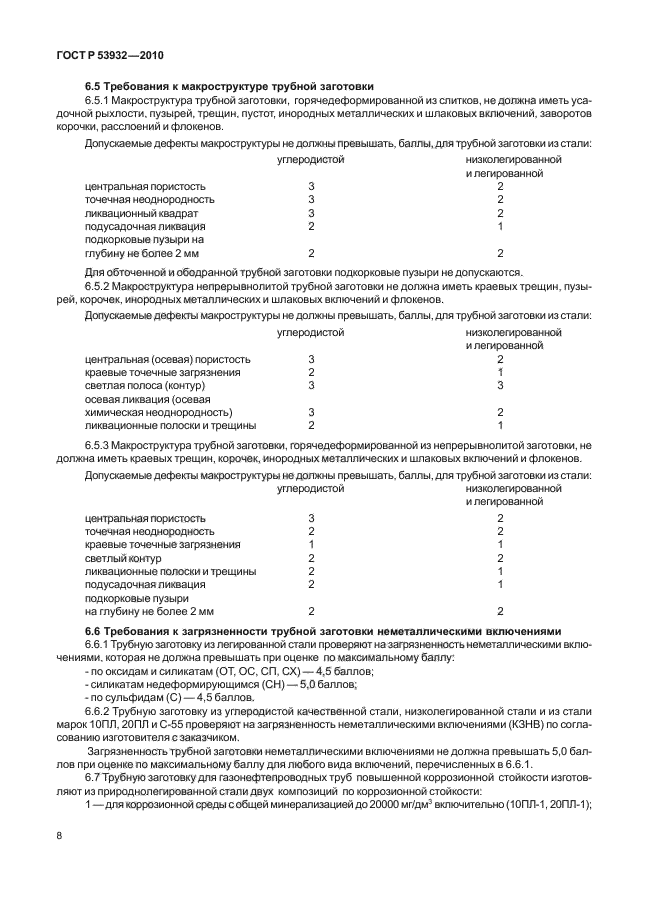
Область применения:Настоящий стандарт распространяется на трубную заготовку, предназначенную для производства бесшовных труб, в т.ч. для производства газонефтепроводных труб повышенной коррозионной стойкости
Расположен в:Государственные стандарты Общероссийский классификатор стандартов Металлургия Продукция из чугуна и стали Стальные прутки и катанка Классификатор государственных стандартов Металлы и металлические изделия Сталь углеродистая обыкновенного качества Сортовой и фасонный прокат Сталь качественная и высококачественная Сортовой и фасонный прокат Окп Прокат черных металлов, готовый, включая заготовку на экспорт Заготовка товарная Заготовка трубная Заготовка трубная никельсодержащая
ГОСТ Р 53932-2010ГОСТ Р 53932-2010ГОСТ Р 53932-2010ГОСТ Р 53932-2010ГОСТ Р 53932-2010ГОСТ Р 53932-2010ГОСТ Р 53932-2010ГОСТ Р 53932-2010ГОСТ Р 53932-2010ГОСТ Р 53932-2010ГОСТ Р 53932-2010ГОСТ Р 53932-2010ГОСТ Р 53932-2010ГОСТ Р 53932-2010ГОСТ Р 53932-2010ГОСТ Р 53932-2010ГОСТ Р 53932-2010ГОСТ Р 53932-2010ГОСТ Р 53932-2010ГОСТ Р 53932-2010ГОСТ Р 53932-2010ГОСТ Р 53932-2010ГОСТ Р 53932-2010ГОСТ Р 53932-2010ГОСТ Р 53932-2010ГОСТ Р 53932-2010ГОСТ Р 53932-2010ГОСТ Р 53932-2010

© 2013 Ёшкин Кот :-) Карта сайта