| Обозначение: |  ГОСТ Р 53918-2010 |
| Статус: | действующий |
| Название рус.: | Изделия медицинские. Руководство по интеграции принципов менеджмента риска в систему менеджмента качества |
| Название англ.: | Medical devices. Implementation of risk management principles and activities within a quality management system |
| Дата актуализации текста: | 06.04.2015 |
| Дата актуализации описания: | 01.01.2021 |
| Дата издания: | 24.06.2011 |
| Дата введения: | 01.11.2011 |
| Код ОКП: | 944000 |
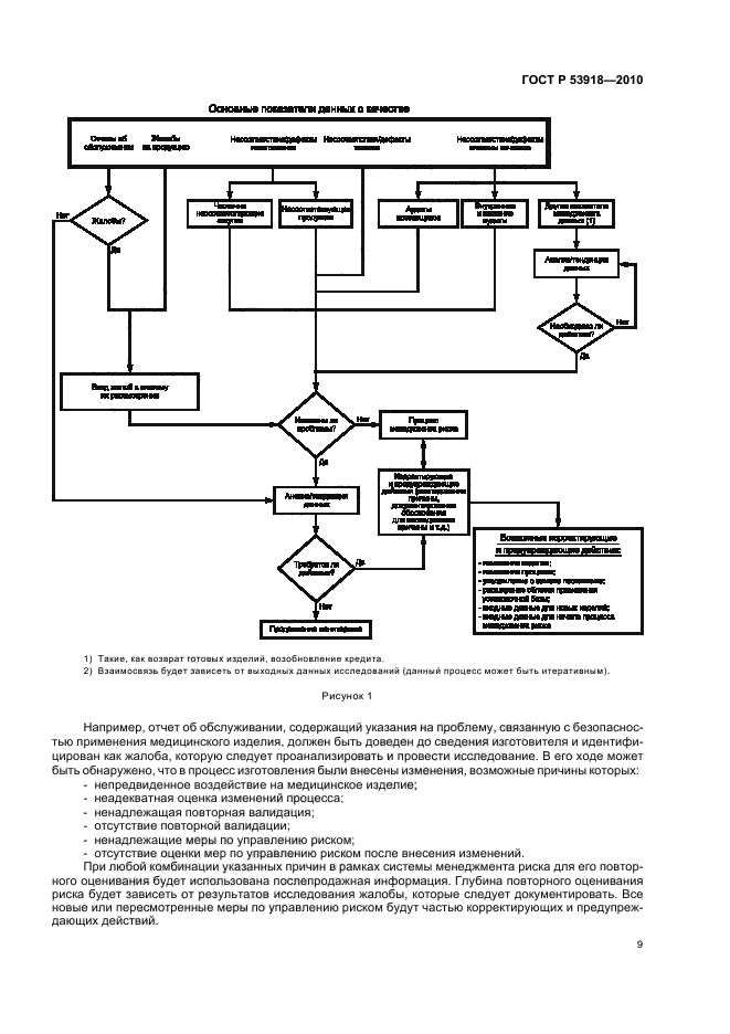
| Область применения: | Настоящее руководство рассматривает принципы и возможности интеграции системы менеджмента риска в систему менеджмента качества изготовителей медицинских изделий на основе разъяснений и примеров практического применения. Настоящее руководство предназначено для использования в сфере обращения медицинских изделий с целью обучения, но не в контролирующей деятельности регулирующих органов, при проведении сертификации или аудита на соответствие регулирующим требованиям (т.е. требованиям, установленным в регулирующих документах) |
|
| Расположен в: |
|