| Обозначение: |  ГОСТ Р 53534-2009 |
| Статус: | действующий |
| Название рус.: | Цифровое телевидение высокой четкости. Измерительные сигналы. Методы измерений. Общие требования |
| Название англ.: | Digital hifh- definition television. Measuring signals. Methods of measuremtnt. General requirements |
| Дата актуализации текста: | 01.06.2021 |
| Дата актуализации описания: | 01.07.2023 |
| Дата издания: | 30.09.2020 |
| Дата введения: | 01.12.2010 |
| Нормативные ссылки: | ГОСТ Р 52210; ГОСТ Р 52592; ГОСТ 7845; ГОСТ 18471; ГОСТ Р 53533 |
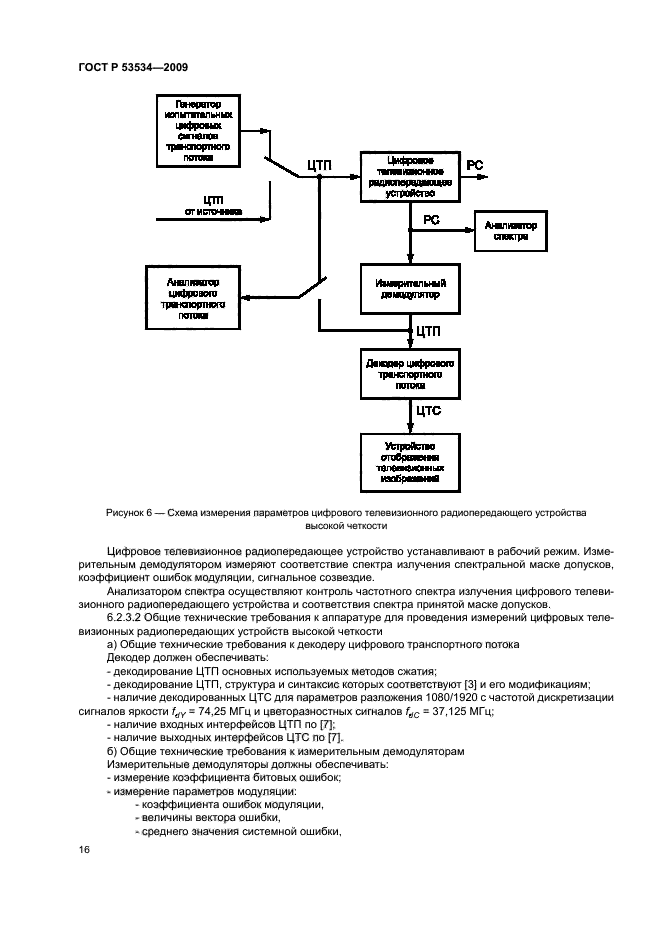
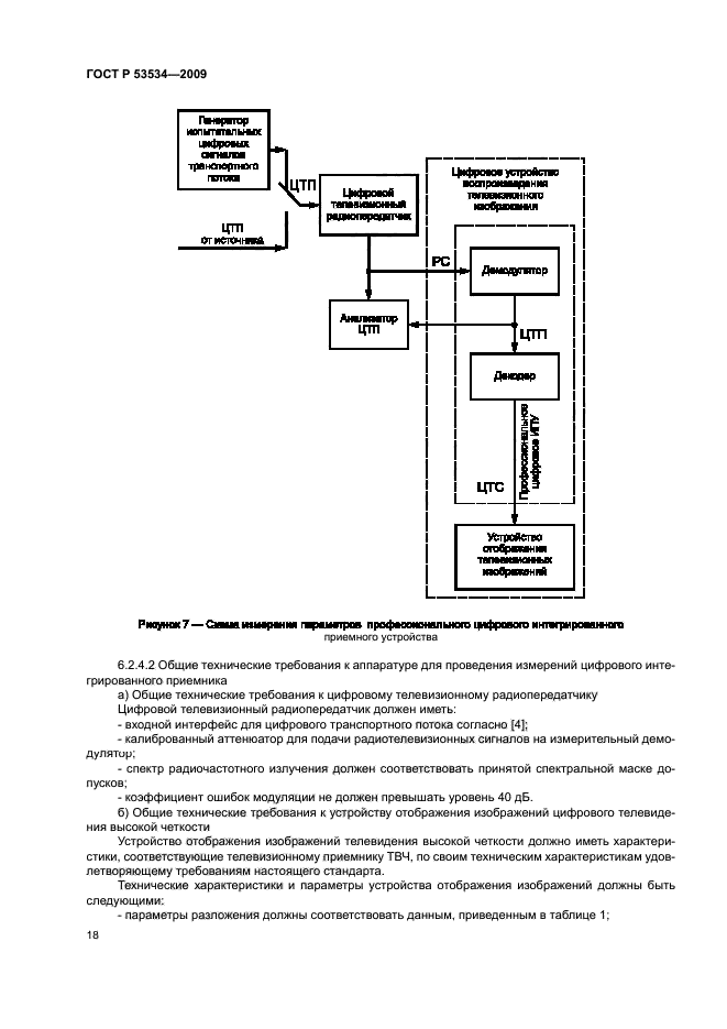
| Область применения: | Настоящий стандарт распространяется на тракт передачи сигналов цифрового вещательного и прикладного телевидения высокой четкости с параметрами разложения 1250/50/2:1 в соответствии со стандартом "Цифровое телевидение высокой четкости. Основные параметры цифровых систем телевидения высокой четкости. Общие требования" и устанавливает: - границы звеньев тракта передачи сигналов цифрового телевидения высокой четкости; - измерительные сигналы и их элементы для контроля основных показателей качества тракта передачи сигналов цифрового телевидения высокой четкости; - основные требования к измерительным сигналам; общие требования к методам измерений параметров цифровой системы телевидения высокой четкости и ее звеньев; - общие требования к средствам измерений. Стандарт предназначен для использования при проведении измерений основных параметров цифровой системы телевидения высокой четкости и ее звеньев |
|
| Расположен в: |
|