| ||||||||||||||||||||||||||||||||||||||
Скачать ГОСТ Р 54158-2010 Трубки из меди и медных сплавов тонкостенные. Технические условияДата актуализации: 01.06.2025
| ||||||||||||||||||||||||||||||||||||||
| Обозначение: | ![]() ГОСТ Р 54158-2010 |
| Статус: | действующий |
| Название рус.: | Трубки из меди и медных сплавов тонкостенные. Технические условия |
| Название англ.: | Thin-walled tubes from copper and copper alloys. Specifications |
| Дата актуализации текста: | 01.01.2021 |
| Дата актуализации описания: | 01.07.2023 |
| Дата издания: | 27.04.2011 |
| Дата введения: | 01.08.2011 |
| Код ОКП: | 184560 |
| Нормативные ссылки: | ГОСТ 427-75; ГОСТ 859-2001; ГОСТ 1652.1-77; ГОСТ 1652.2-77; ГОСТ 1652.3-77; ГОСТ 1652.4-77; ГОСТ 1652.5-77; ГОСТ 1652.6-77; ГОСТ 1652.7-77; ГОСТ 1652.8-77; ГОСТ 1652.9-77; ГОСТ 1652.10-77; ГОСТ 1652.11-77; ГОСТ 1652.12-77; ГОСТ 1652.13-77; ГОСТ 2991-85; ГОСТ 3282-74; ГОСТ 3560-73; ГОСТ 3845-75; ГОСТ 6507-90; ГОСТ 7502-98; ГОСТ 8695-75; ГОСТ 9557-87; ГОСТ 9569-2006; ГОСТ 9716.1-79; ГОСТ 9716.2-79; ГОСТ 9716.3-79; ГОСТ 9717.2-82; ГОСТ 9717.3-82; ГОСТ 10006-80; ГОСТ 10198-91; ГОСТ 12082-82; ГОСТ 13938.11-78; ГОСТ 13938.13-93; ГОСТ 14192-96; ГОСТ 15102-75; ГОСТ 15527-2004; ГОСТ 15846-2002; ГОСТ 18321-73; ГОСТ 21650-76; ГОСТ 22225-76; ГОСТ 24047-80; ГОСТ 24231-80; ГОСТ 24597-81; ГОСТ 26877-91; ГОСТ 31382-2009 |
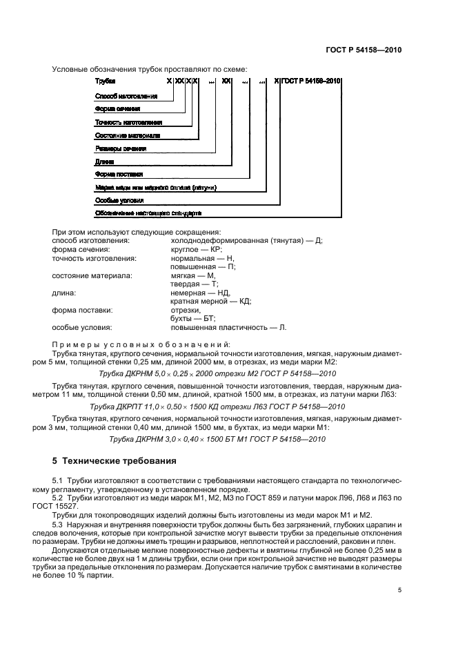
| Область применения: | Настоящий стандарт распространяется на тянутые тонкостенные трубки круглого сечения из меди и медных сплавов (латуни), применяемые в различных отраслях промышленности. Стандарт устанавливает сортамент, технические требования, правила приемки, методы контроля и испытаний, маркировку, упаковку, транспортирование и хранение труб |
| Список изменений: | №0 от 28.07.2013 (рег. 28.07.2013) «Дата введения перенесена» |
| Приложение №1: | Поправка к ГОСТ Р 54158-2010 |
| Расположен в: | |



















| Обозначение: | Поправка к ГОСТ Р 54158-2010 |
| Дата введения: | 29.07.2013 |
