| Обозначение: |  ГОСТ Р 53633.0-2009 |
| Статус: | действующий |
| Название рус.: | Информационные технологии. Сеть управления электросвязью. Расширенная схема деятельности организации связи (eТОМ). Общая структура бизнес-процессов |
| Название англ.: | Information technologies. Telecommunications management network. Enhanced telecom operations Map (eTOM). The business process framework |
| Дата актуализации текста: | 01.01.2021 |
| Дата актуализации описания: | 01.01.2021 |
| Дата издания: | 01.11.2018 |
| Дата введения: | 01.12.2010 |
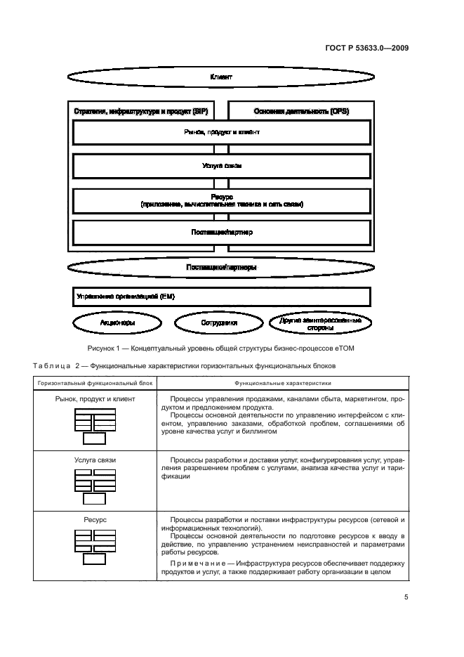
| Область применения: | Настоящий стандарт устанавливает эталонную общую структуру бизнес-процессов для организаций связи и является базовым стандартом группы стандартов, определяющих “Расширенную схему деятельности организации связи (eTOM)”. Настоящий стандарт распространяется на все виды производственных процессов организаций связи, независимо от того, какие технологии электросвязи организации применяют и какие инфокоммуникационные услуги они оказывают клиентам. Настоящий стандарт предназначен для применения организациями связи, производителями систем управления и систем автоматизации производственных процессов, системными интеграторами и производителями телекоммуникационного оборудования. Системные интеграторы могут применять настоящий стандарт при проектировании комплексных систем автоматизации производственных процессов с использованием систем и компонентов разных производителей. Требования настоящего стандарта не распространяются на действующие стандарты, которые были приняты до введения его в действие |
| Приложение №1: | Поправка к ГОСТ Р 53633.0-2009 |
|
| Расположен в: |
|