| Обозначение: |    ГОСТ Р ИСО 10993-17-2009 | 
| Статус: | отменён | 
| Название рус.: | Изделия медицинские. Оценка биологического действия медицинских изделий. Часть 17. Установление пороговых значений для вымываемых веществ | 
| Название англ.: | Medical devices. Biological evaluation of medical devices. Part 17. Establishment of allowable limits for leachable substance | 
| Дата актуализации текста: | 06.04.2015 | 
| Дата актуализации описания: | 01.07.2023 | 
| Дата издания: | 04.02.2011 | 
| Дата введения: | 01.11.2010 | 
| Дата окончания срока действия: | 01.01.2013 | 
| Код ОКП: | 944000 | 
| Аутентичен стандартам: | ISO 10993-17:2002 | 
| На территории РФ пользоваться: | ГОСТ ISO 10993-17-2011 | 
| Нормативные ссылки: | ISO 10993-1:2003 | 
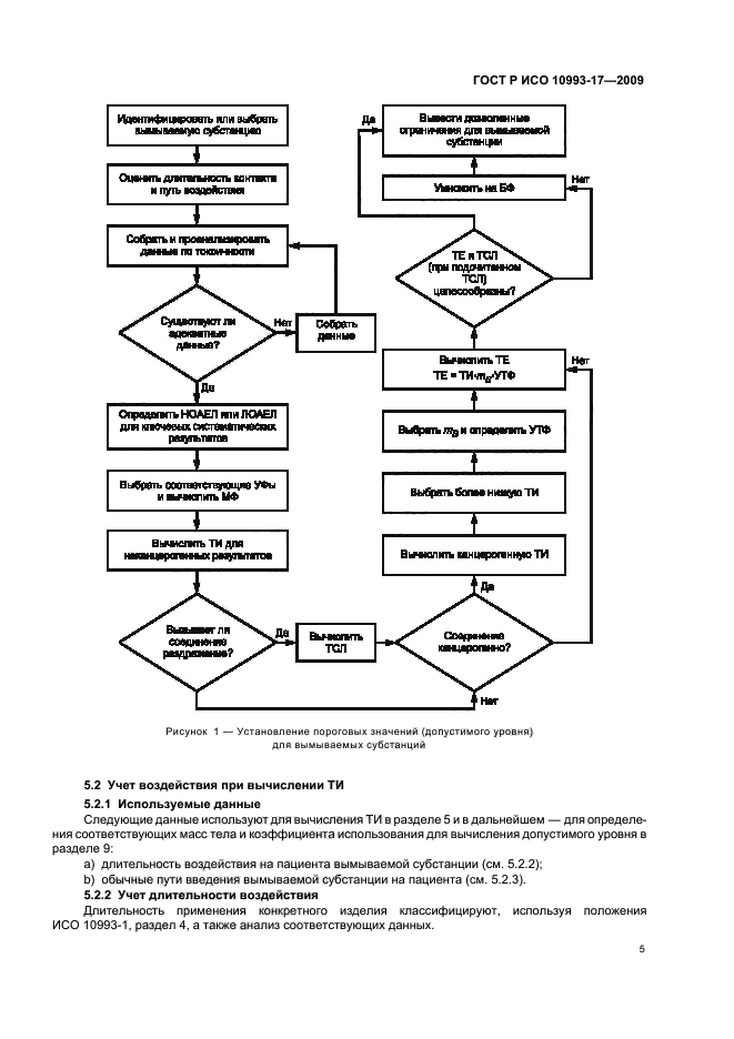
| Область применения: | Настоящий стандарт устанавливает метод определения пороговых значений (допустимых уровней) для веществ, вымываемых из медицинских изделий. Он предназначен для использования при разработке стандартов и расчете соответствующих ограничений при отсутствии стандартов. Он устанавливает систематический процесс, путем которого выявленные риски при использовании токсикологически опасных субстанций в медицинских изделиях могут быть выражены количественно. Настоящий стандарт не применим к изделиям, не имеющим контакта с пациентом (например, изделия для in vitro диагностики). Воздействие конкретной химической субстанции может происходить из других источников, не имеющих отношения к медицинскому изделию, таких как пища, вода или воздух. Настоящий стандарт не описывает потенциал воздействия из таких источников | 
| Список изменений: | №0 от 01.01.2013 (рег. 13.12.2011) «Текстовое изменение; Изменено заглавие» | 
 | 
| Расположен в: | 
  |