| Обозначение: |  ГОСТ Р 50779.21-2004 |
| Статус: | действующий |
| Название рус.: | Статистические методы. Правила определения и методы расчета статистических характеристик по выборочным данным. Часть 1. Нормальное распределение |
| Название англ.: | Statistical methods. Determination rules and methods for calculation of statistical characteristics based on sample data. Part 1. Normal distribution |
| Дата актуализации текста: | 06.04.2015 |
| Дата актуализации описания: | 01.07.2023 |
| Дата издания: | 16.03.2004 |
| Дата введения: | 01.06.2004 |
| Взамен: | ГОСТ Р 50779.21-96 |
| Нормативные ссылки: | ISO 2854:1976; ГОСТ Р 50779.10-2000; ГОСТ Р 50779.11-2000 |
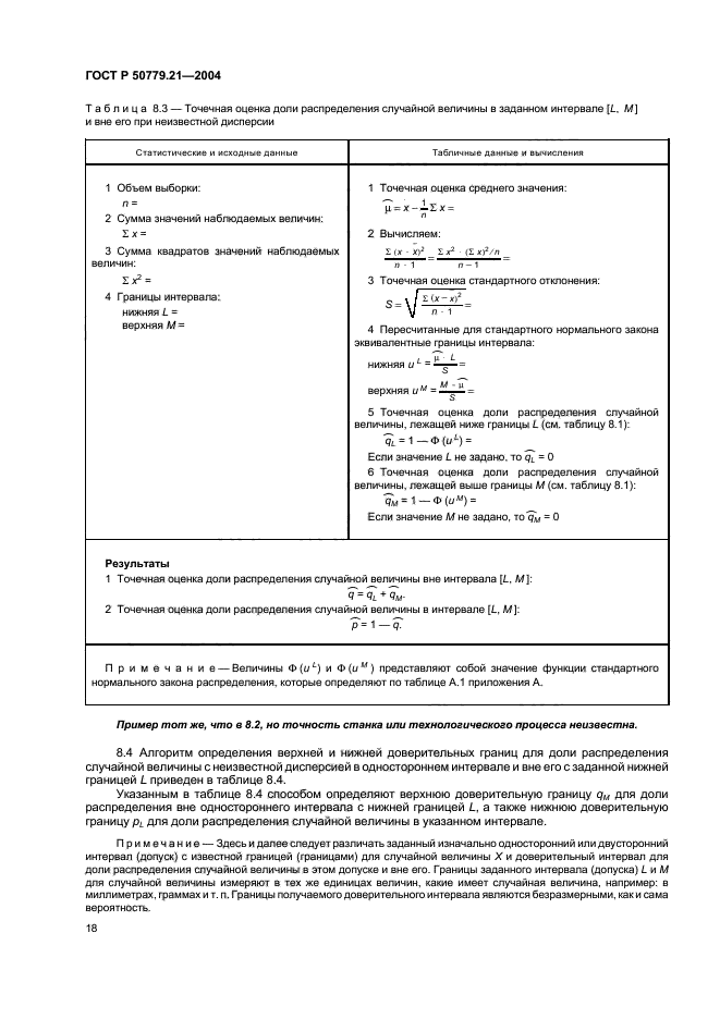
| Область применения: | Настоящий стандарт устанавливает методы, применяемые для: - оценки математического ожидания и дисперсии генеральной совокупности; - проверки гипотез относительно значений этих параметров; - оценки вероятности попадания (доли распределения) случайной величины в заданный интервал. Методы, изложенные в настоящем стандарте, применимы в том случае, если выполнены следующие условия: - элементы выборки получены путем независимых повторений эксперимента. В случае конечной генеральной совокупности объем выборки должен составлять не более 10% объема генеральной совокупности; - наблюдаемые переменные распределены по нормальному закону. Однако, если распределение вероятностей несильно отличается от нормального, то описанные в стандарте методы остаются применимыми для большинства практических приложений. В этом случае объем выборки должен быть не менее 10 единиц, причем достоверность получаемых статистических выводов возрастает при увеличении объемов выборок |
|
| Расположен в: |
|