| ||||||||||||||||||||||||||||||||||
Скачать ГОСТ Р 52757-2007 Машины свеклоуборочные. Методы испытанийДата актуализации: 01.06.2025
| ||||||||||||||||||||||||||||||||||
| Обозначение: | ![]() ГОСТ Р 52757-2007 |
| Статус: | отменён |
| Название рус.: | Машины свеклоуборочные. Методы испытаний |
| Название англ.: | Beet harvesters. Test methods |
| Дата актуализации текста: | 06.04.2015 |
| Дата актуализации описания: | 01.07.2023 |
| Дата издания: | 19.12.2007 |
| Дата введения: | 01.01.2009 |
| Дата окончания срока действия: | 01.01.2018 |
| На территории РФ пользоваться: | ГОСТ 33737-2016 |
| Нормативные ссылки: | ГОСТ Р 52647-2006; ГОСТ 12.2.002-91; ГОСТ 12.2.019-86; ГОСТ 12.2.111-85; ГОСТ 12.2.120-88; ГОСТ 27.002-89; ГОСТ 427-75; ГОСТ 7496-84; ГОСТ 7502-98; ГОСТ 13837-79; ГОСТ 20578-85; ГОСТ 20915-75; ГОСТ 21623-76; ГОСТ 23728-88; ГОСТ 23729-88; ГОСТ 23730-88; ГОСТ 23932-90; ГОСТ 24055-88; ГОСТ 24057-88; ГОСТ 24104-2001; ГОСТ 25866-83; ГОСТ 26025-83; ГОСТ 26026-83; ГОСТ 28305-89; ГОСТ 28498-90; ГОСТ 29329-92 |
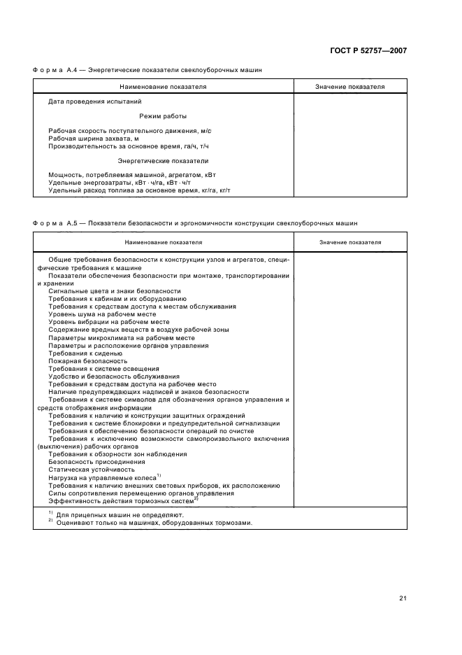
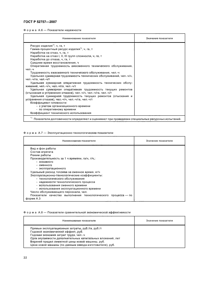
| Область применения: | Настоящий стандарт распространяется на: - свеклоуборочные комбайны; - корнеуборочные машины; - ботвоуборочные и корнеуборочные машины, работающие в комплексе; - машины для валковой технологии уборки сахарной свеклы; - очистители головок корнеплодов; - машины и приспособления для уборки корнеплодов маточной свеклы. Настоящий стандарт устанавливает методы испытаний вышеперечисленных машин |
| Список изменений: | №0 от 01.01.2018 (рег. 21.03.2017) «Текстовое изменение; Изменено заглавие» |
| Расположен в: | |


































