| ||||||||||||||||||||||||||||||||||
Скачать ГОСТ ИСО 10817-1-2002 Вибрация. Системы измерений вибрации вращающихся валов. Часть 1. Устройства для снятия сигналов относительной и абсолютной вибрацииДата актуализации: 01.06.2025
| ||||||||||||||||||||||||||||||||||
| Обозначение: | ![]() ГОСТ ИСО 10817-1-2002 |
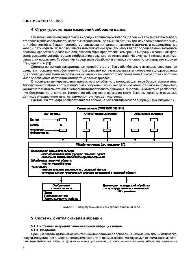
| Статус: | действующий |
| Название рус.: | Вибрация. Системы измерений вибрации вращающихся валов. Часть 1. Устройства для снятия сигналов относительной и абсолютной вибрации |
| Название англ.: | Vibration. Rotating shaft vibration measuring systems. Part 1. Relative and absolute sensing of radial vibration |
| Дата актуализации текста: | 06.04.2015 |
| Дата актуализации описания: | 01.07.2023 |
| Дата регистрации: | 30.05.2002 |
| Дата издания: | 07.11.2007 |
| Дата введения: | 01.11.2007 |
| Код ОКП: | 427714 |
| Аутентичен стандартам: | ISO 10817-1:1998; ГОСТ Р ИСО 10817-1-99 |
| Нормативные ссылки: | ГОСТ 2789-73; ГОСТ 4543-71; ГОСТ ИСО 5347-0-95; ГОСТ ИСО 5348-2002; ГОСТ ИСО 7919-1-2002; ГОСТ ИСО 7919-3-2002; ГОСТ ИСО 7919-4-2002; ГОСТ ИСО 8042-2002; ГОСТ 14254-96; ГОСТ 24346-80; ГОСТ 27165-97; ГОСТ 30630.1.2-99; ГОСТ 30630.1.3-2001; ГОСТ Р 51371-99 |
| Область применения: | Настоящий стандарт устанавливает требования к устройствам снятия сигналов радиальной вибрации, как абсолютной так и относительной, вращающихся валов (датчикам вибрации и устройствам согласования), методам крепления и процедурам калибровки |
| Расположен в: | |


















