Информационная система
«Ёшкин Кот»

Скачать базу одним архивом
Скачать обновления
История создания базы
Карта сайта

Скачать ГОСТ Р 50779.51-95 Статистические методы. Непрерывный приемочный контроль качества по альтернативному признаку

Дата актуализации: 01.06.2025

ГОСТ Р 50779.51-95

Статистические методы. Непрерывный приемочный контроль качества по альтернативному признаку

Обозначение: ГОСТ Р 50779.51-95
Статус:действующий
Название рус.:Статистические методы. Непрерывный приемочный контроль качества по альтернативному признаку
Название англ.:Statistical methods. Continuous acceptance sampling by attributes
Дата актуализации текста:06.04.2015
Дата актуализации описания:01.07.2023
Дата издания:01.09.2005
Дата введения:01.07.1996
Нормативные ссылки:ГОСТ 18321-73;ГОСТ Р ИСО 9001-2001;ГОСТ Р 50779.30-95;ГОСТ Р 50779.52-95
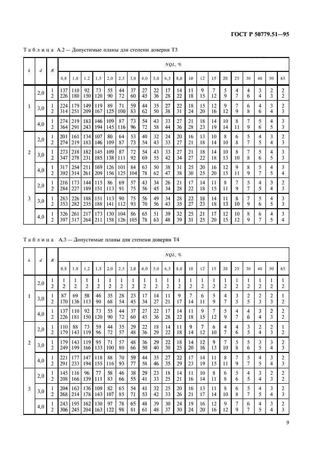
Область применения:Стандарт распространяется на непрерывный статистический приемочный контроль по альтернативному признаку, проводимый: - поставщиком (приемочный контроль, окончательный контроль готовой продукции, приемка, сертификация продукции в форме заявления изготовителя); - потребителем (входной контроль, инспекционный контроль, приемка продукции представителем потребителя); - третьей стороной (сертификация продукции, контроль при арбитражном и судебном рассмотрении дел, касающихся качества продукции). Стандарт также распространяется на контроль продукции при организации взаимоотношений между производственными подразделениями предприятия
Расположен в:Государственные стандарты Общероссийский классификатор стандартов Услуги. Организация фирм, управление и качество. Администрация. Транспорт. Социология. Качество Применение статистических методов Классификатор государственных стандартов Общетехнические и организационно-методические стандарты Система документации Общие методы и средства контроля и испытания продукции. Методы статистического контроля качества, надежности, долговечности
ГОСТ Р 50779.51-95ГОСТ Р 50779.51-95ГОСТ Р 50779.51-95ГОСТ Р 50779.51-95ГОСТ Р 50779.51-95ГОСТ Р 50779.51-95ГОСТ Р 50779.51-95ГОСТ Р 50779.51-95ГОСТ Р 50779.51-95ГОСТ Р 50779.51-95ГОСТ Р 50779.51-95ГОСТ Р 50779.51-95ГОСТ Р 50779.51-95ГОСТ Р 50779.51-95ГОСТ Р 50779.51-95ГОСТ Р 50779.51-95

© 2013 Ёшкин Кот :-) Карта сайта