| Обозначение: |  ГОСТ Р ИСО 16269-8-2005 |
| Статус: | действующий |
| Название рус.: | Статистические методы. Статистическое представление данных. Определение предикционных интервалов |
| Название англ.: | Statistical methods. Statistical interpretation of data. Determination of prediction intervals |
| Дата актуализации текста: | 06.04.2015 |
| Дата актуализации описания: | 01.07.2023 |
| Дата издания: | 27.10.2020 |
| Дата введения: | 01.09.2005 |
| Аутентичен стандартам: | ISO 16269-8:2004 |
| Нормативные ссылки: | ISO 3534-1;ISO 3534-2;ISO 16269-6 |
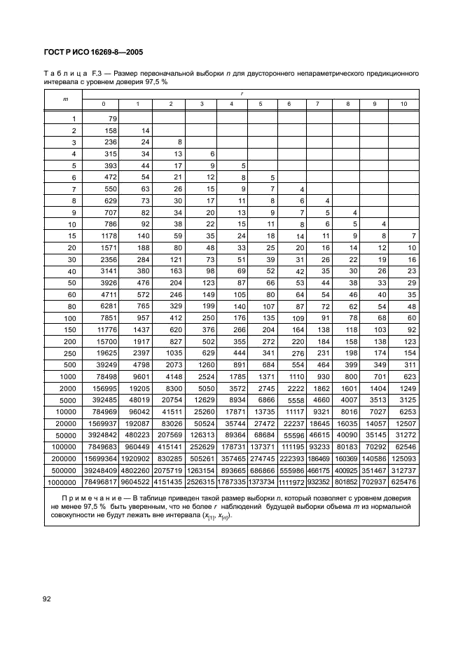
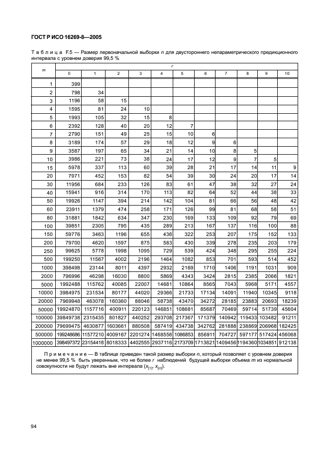
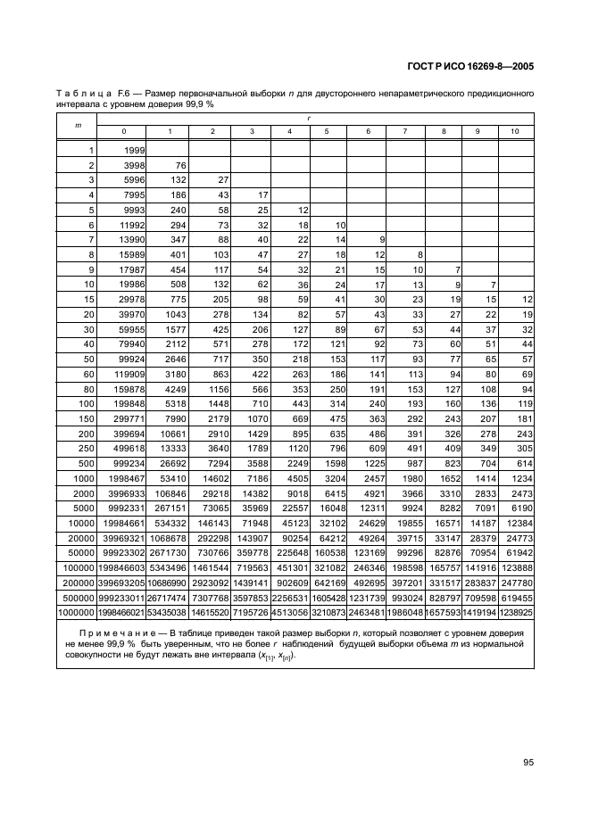
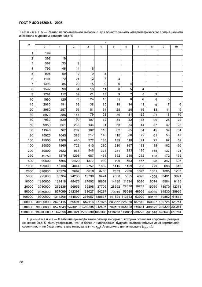
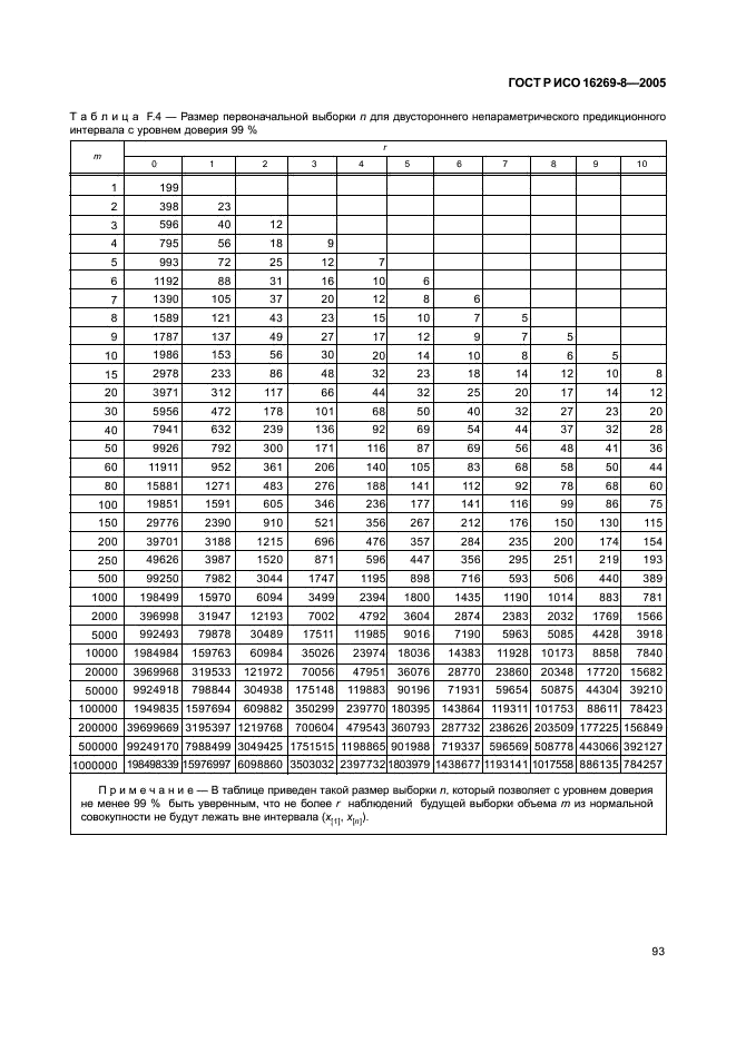
| Область применения: | Настоящий стандарт устанавливает методы определения предикционных интервалов для единственной переменной с непрерывной функцией распределения. Построение предикционного интервала сводится к прогнозированию диапазона значений переменной по случайной выборке размера n для будущей случайной выборки размера m из той же самой совокупности с заданным уровнем доверия |
|
| Расположен в: |
|