| ||||||||||||||||||||||||||||
Скачать ГОСТ Р 52315-2005 Напитки безалкогольные. Вода минеральная и питьевая. Инверсионно-вольтамперометрический метод определения массовой концентрации селенаДата актуализации: 01.06.2025
| ||||||||||||||||||||||||||||
| Обозначение: | ![]() ГОСТ Р 52315-2005 |
| Статус: | действующий |
| Название рус.: | Напитки безалкогольные. Вода минеральная и питьевая. Инверсионно-вольтамперометрический метод определения массовой концентрации селена |
| Название англ.: | Nonalcoholic beverages. Mineral and drinking water. Stripping voltammetric mеthod of sеlеnium mass concentration determination |
| Дата актуализации текста: | 06.04.2015 |
| Дата актуализации описания: | 01.07.2023 |
| Дата издания: | 04.04.2005 |
| Дата введения: | 01.01.2006 |
| Нормативные ссылки: | ГОСТ 12.1.004-91; ГОСТ 12.1.019-79; ГОСТ 12.4.009-83; ГОСТ 1770-74; ГОСТ 2156-76; ГОСТ 2405-88; ГОСТ 3118-77; ГОСТ 3760-79; ГОСТ 4146-74; ГОСТ 4204-77; ГОСТ 4212-76; ГОСТ 4233-77; ГОСТ 4328-77; ГОСТ 4461-77; ГОСТ 4520-78; ГОСТ 6687.0-86; ГОСТ 6709-72; ГОСТ 7328-2001; ГОСТ 9293-74; ГОСТ 10929-76; ГОСТ 11125-84; ГОСТ 12026-76; ГОСТ 13861-89; ГОСТ 14261-77; ГОСТ 14262-78; ГОСТ 14919-83; ГОСТ 15150-69; ГОСТ 16317-70; ГОСТ 17435-72; ГОСТ 17792-72; ГОСТ 18300-87; ГОСТ 19908-90; ГОСТ 20478-75; ГОСТ 20490-75; ГОСТ 21400-75; ГОСТ 23268.0-91; ГОСТ 24104-2001; ГОСТ 25336-82; ГОСТ 28165-89; ГОСТ 29227-91; ГОСТ Р ИСО 5725-1-2002; ГОСТ Р ИСО 5725-6-2002; ГОСТ Р ИСО/МЭК 17025-2000; ГОСТ Р 51592-2000; ГОСТ Р 51593-2000; ГОСТ Р 8.563-96; ГОСТ Р 51301-99 |
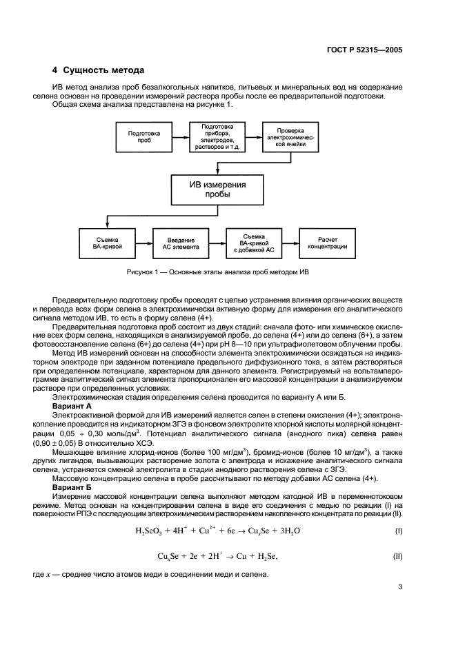
| Область применения: | Настоящий стандарт распространяется на безалкогольные напитки, питьевую и минеральную воду различных типов (минеральные питьевые, лечебные, лечебно-столовые и природные столовые) и устанавливает инверсионно-вольтамперометрический метод определения в них массовой концентрации селена в диапазоне измерений от 0,0003 до 0,50 мг/дм куб. |
| Расположен в: | |


















