| Обозначение: |  ГОСТ Р ИСО 10303-518-2009 |
| Статус: | действующий |
| Название рус.: | Системы автоматизации производства и их интеграция. Представление данных об изделии и обмен этими данными. Часть 518. Прикладные интерпретированные конструкции. Теневое представление механических конструкций |
| Название англ.: | Industrial automation systems and integration. Product data representation and exchange. Part 518. Application interpreted construct. Mechanical design shaded presentation |
| Дата актуализации текста: | 06.04.2015 |
| Дата актуализации описания: | 01.07.2023 |
| Дата издания: | 06.04.2020 |
| Дата введения: | 01.07.2010 |
| Аутентичен стандартам: | ISO 10303-518:2002 |
| Нормативные ссылки: | ISO/IEC 8824-1:1998;ISO 10303-1:1994;ISO 10303-11:1994;ISO 10303-41:1994;ISO 10303-42:1994;ISO 10303-43:1994;ISO 10303-46:1994;ISO 10303-202:1996 |
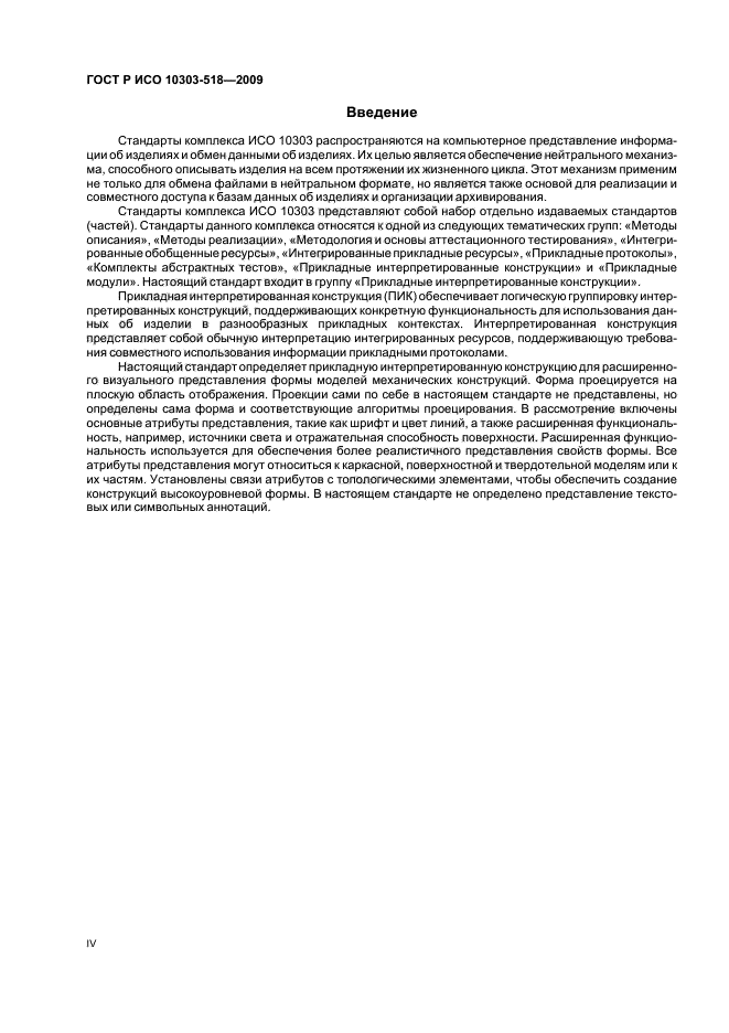
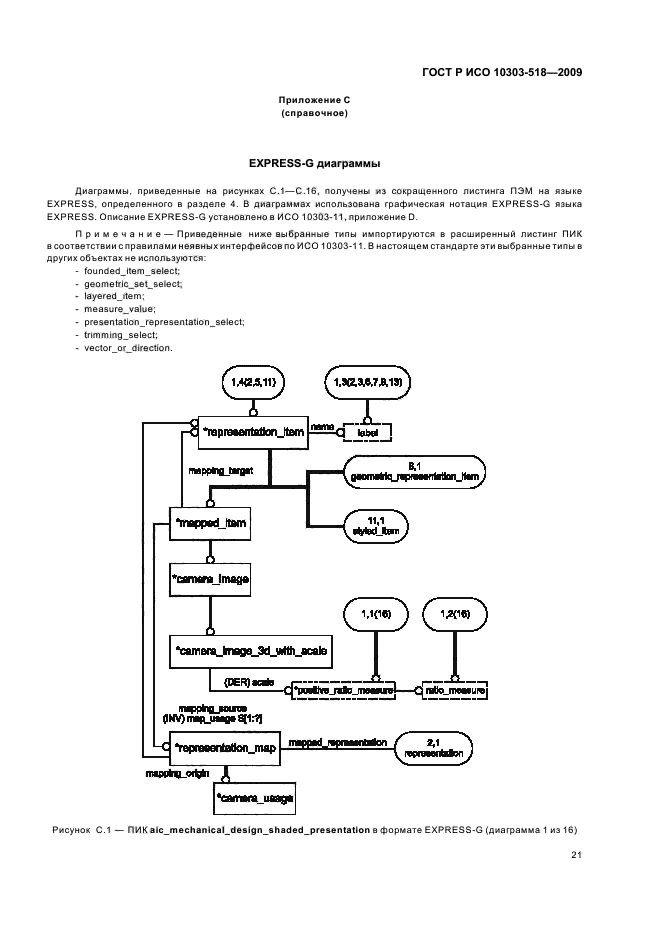
| Область применения: | Настоящий стандарт определяет интерпретацию интегрированных ресурсов, обеспечивающую соответствие требованиям к описанию визуального представления формы с затенениями. Основные атрибуты представления, например цвет, могут быть связаны с точками, кривыми, поверхностями и топологическими конструкциями. Расширенные свойства визуализации, например, отражательная способность и прозрачность поверхности, могут быть применены к кривым и поверхностям. Описание аннотаций не приводится. Требования настоящего стандарта распространяются на: - визуальное представление форм механических конструкций; - присвоение атрибутов визуального представления геометрическим и топологическим элементам; - алгоритмы проецирования трехмерных форм на плоскости; - размещение проекций формы в окне; - несколько видов в пределах одного окна; - цвет фона окна; - удаление невидимых линий и поверхностей; - источники света; - цвет точек, кривых и поверхностей; - шрифт точек; - шрифт кривых; - стили кривых, зависящие от назначения кривых в определении поверхности; - цвет поверхностей с затенением и без затенения; - характеристики поверхности, например, прозрачность и отражательная способность; - предопределенные цвета; - предопределенные стили кривых |
|
| Расположен в: |
|