Информационная система
«Ёшкин Кот»

Скачать базу одним архивом
Скачать обновления
История создания базы
Карта сайта

Скачать ГОСТ Р 53795-2010 Изучение недр геологическое. Термины и определения

Дата актуализации: 01.06.2025

ГОСТ Р 53795-2010

Изучение недр геологическое. Термины и определения

Обозначение: ГОСТ Р 53795-2010
Статус:действующий
Название рус.:Изучение недр геологическое. Термины и определения
Название англ.:Geological study of subsurface. Terms and definitions
Дата актуализации текста:01.01.2021
Дата актуализации описания:01.01.2021
Дата издания:14.01.2019
Дата введения:01.01.2011
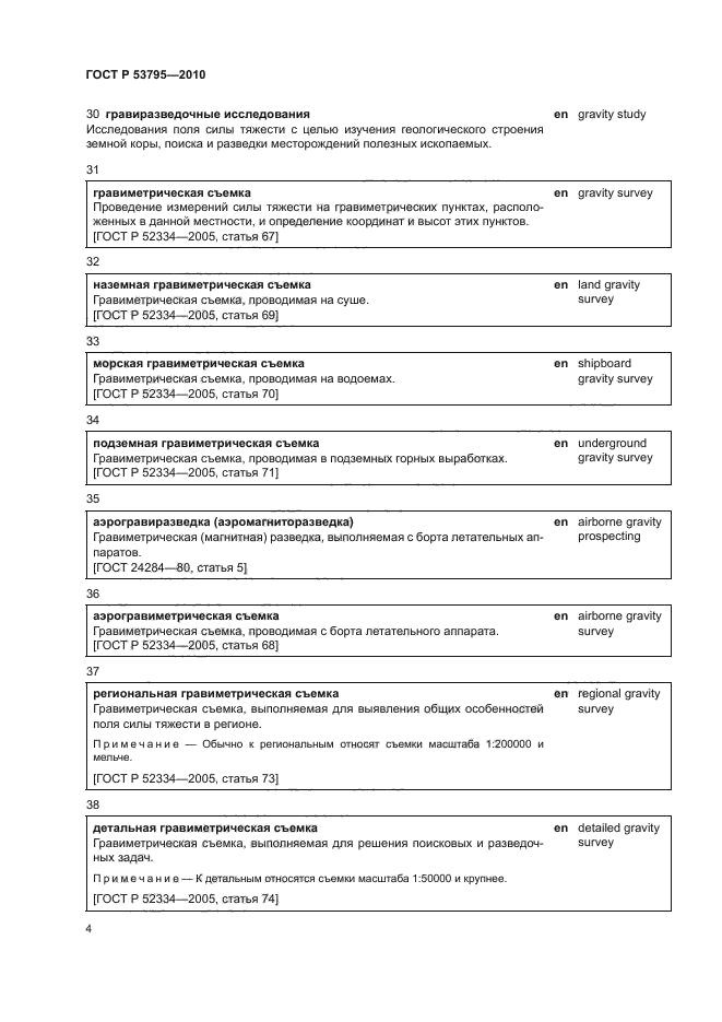
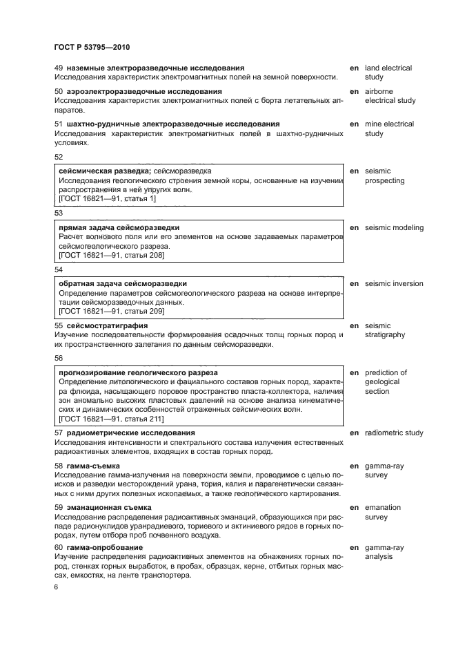
Область применения:Настоящий стандарт устанавливает термины и определения понятий в области методов, способов и технологий геологического изучения недр. Термины, установленные настоящим стандартом, рекомендуются для применения во всех видах нормативно-методической, технико-технологической и отчетной документации и литературы по геологическому изучению недр, входящих в сферу работ по стандартизации и (или) использующих результаты этих работ
Расположен в:Государственные стандарты Общероссийский классификатор стандартов Общие положения. Терминология. Стандартизация. Документация Словари Математика. Естественные науки Классификатор государственных стандартов Общетехнические и организационно-методические стандарты Общетехнические и метрологические термины, обозначения и величины Общетехнические термины, обозначения и величины
ГОСТ Р 53795-2010ГОСТ Р 53795-2010ГОСТ Р 53795-2010ГОСТ Р 53795-2010ГОСТ Р 53795-2010ГОСТ Р 53795-2010ГОСТ Р 53795-2010ГОСТ Р 53795-2010ГОСТ Р 53795-2010ГОСТ Р 53795-2010ГОСТ Р 53795-2010ГОСТ Р 53795-2010ГОСТ Р 53795-2010ГОСТ Р 53795-2010ГОСТ Р 53795-2010ГОСТ Р 53795-2010ГОСТ Р 53795-2010ГОСТ Р 53795-2010ГОСТ Р 53795-2010ГОСТ Р 53795-2010ГОСТ Р 53795-2010ГОСТ Р 53795-2010ГОСТ Р 53795-2010ГОСТ Р 53795-2010

© 2013 Ёшкин Кот :-) Карта сайта