| Обозначение: |  ГОСТ Р ИСО 14040-2010 |
| Статус: | заменён |
| Название рус.: | Экологический менеджмент. Оценка жизненного цикла. Принципы и структура |
| Название англ.: | Environmental management. Life cycle assessment. Principles and framework |
| Дата актуализации текста: | 06.04.2015 |
| Дата актуализации описания: | 01.01.2023 |
| Дата издания: | 18.09.2019 |
| Дата введения: | 01.06.2010 |
| Дата окончания срока действия: | 01.01.2023 |
| Взамен: | ГОСТ Р ИСО 14040-99 |
| Заменяющий: | ГОСТ Р ИСО 14040-2022 |
| Аутентичен стандартам: | ISO 14040:2006 |
| Нормативные ссылки: | ISO 14044:2006 |
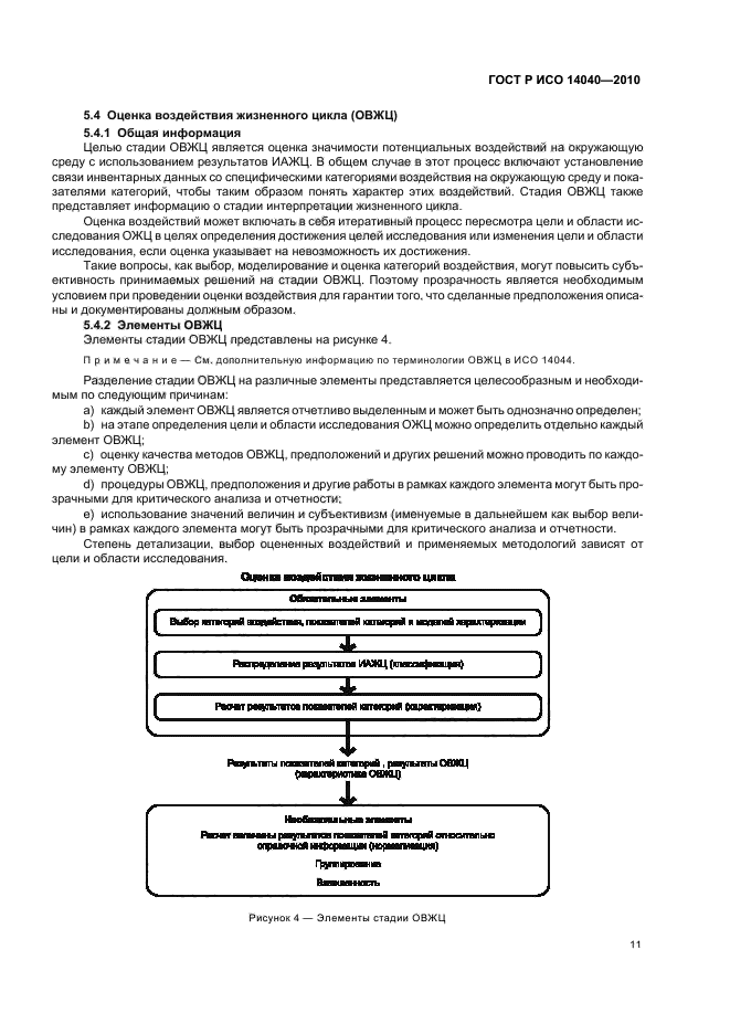
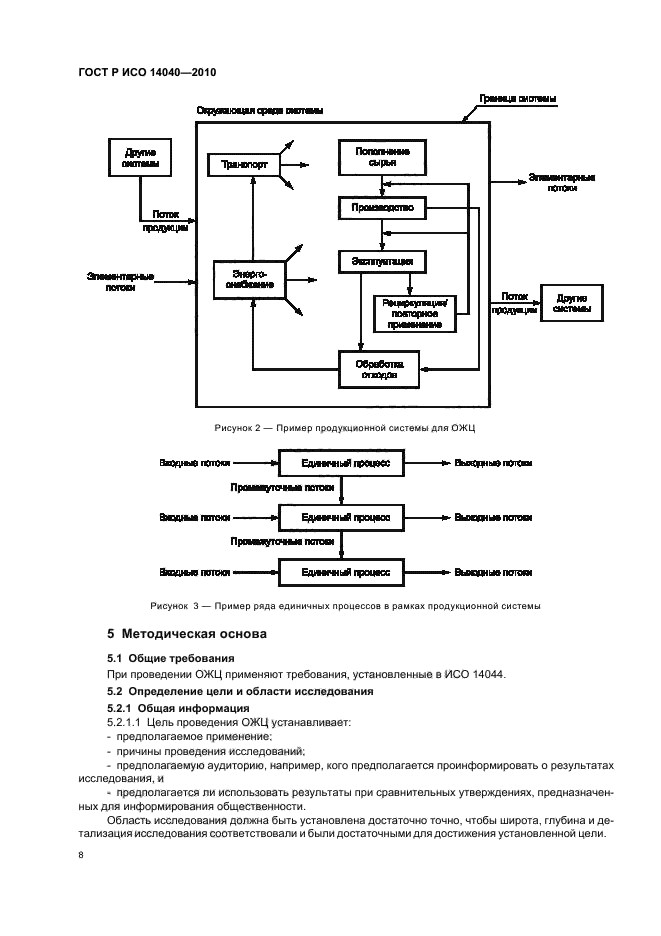
| Область применения: | Настоящий стандарт описывает общую структуру, принципы и требования к проведению исследований ОЖЦ, включая: а) установление целей и охвата ОЖЦ; b) инвентаризационный анализ (ИАЖЦ); c) оценку воздействия (ОВЖЦ); d) интерпретацию жизненного цикла; e) составление отчетности и критический обзор ОЖЦ; f) ограничения ОЖЦ; g) отношения между стадиями ОЖЦ; h) условия для использования выбора значений и дополнительных элементов. Настоящий стандарт распространяется на исследования ОЖЦ и ИАЖЦ. Он не описывает технические детали ОЖЦ и не предлагает методологий для индивидуальных стадий ОЖЦ. Предназначенное использование результатов ОЖЦ или ИАЖЦ рассматривается в рамках стадии определения целей и охвата, но само применение выходит за рамки настоящего стандарта. Настоящий стандарт не предназначен для контрактных или регулятивных целей, а также для регистрации или сертификации |
| Список изменений: | №0 от 01.12.2011 (рег. 01.12.2011) «Дата введения перенесена» |
| Приложение №1: | Поправка к ГОСТ Р ИСО 14040-2010 |
|
| Расположен в: |
|