| Обозначение: |  ГОСТ Р ИСО 10993-18-2009 |
| Статус: | отменён |
| Название рус.: | Изделия медицинские. Оценка биологического действия медицинских изделий. Часть 18. Исследование химических свойств материалов |
| Название англ.: | Medical devices. Biological evaluation of medical devices. Part 18. Chemical characterization of materials |
| Дата актуализации текста: | 06.04.2015 |
| Дата актуализации описания: | 01.07.2023 |
| Дата издания: | 26.06.2010 |
| Дата введения: | 01.09.2010 |
| Дата окончания срока действия: | 01.01.2013 |
| Код ОКП: | 944000 |
| Аутентичен стандартам: | ISO 10993-18:2005 |
| На территории РФ пользоваться: | ГОСТ ISO 10993-18-2011 |
| Нормативные ссылки: | ISO 10993-1:2003;ISO 10993-17;ISO 14972:2000 |
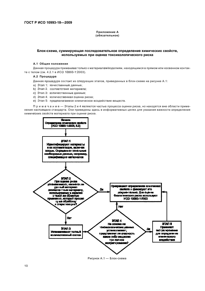
| Область применения: | Настоящий стандарт описывает процедуру идентификации материала и идентификации и определения его химических составляющих. Полученные данные о химических свойствах материала могут быть использованы для ряда важных применений, например: - как часть оценки общей биологической безопасности медицинского изделия (ИСО 10993-1 и 14971); - измерения уровня экстракции вещества из медицинского изделия для оценки соответствия допустимому пределу, выбранному для данного вещества с точки зрения оценки риска здоровью (ИСО 10993-17); - оценки соответствия предлагаемого материала клинически проверенному материалу; - оценки соответствия конечного продукта прототипу и проверки применимости полученных данных для обоснования оценки конечного продукта; - отбора потенциально новых материалов для медицинских изделий, используемых в конкретном клиническом применении. Настоящий стандарт не рассматривает идентификацию или количественную оценку продуктов деградации, которые рассмотрены в ИСО 10993-9, ИСО10993-13, ИСО 10993-14 и ИСО 10993-15. Настоящая серия стандартов ИСО 10993 применяется, если материал или изделие прямо или косвенно входит в контакт с телом пациента (см. 4.2.1 в ИСО10993-1:2003). Настоящий стандарт предназначен для поставщиков материалов и изготовителей медицинских изделий при оценке биологической безопасности |
| Список изменений: | №0 от 01.01.2013 (рег. 13.12.2011) «Текстовое изменение; Изменено заглавие» |
|
| Расположен в: |
|