| Обозначение: |  ГОСТ Р ИСО 10014-2008 |
| Статус: | действующий |
| Название рус.: | Менеджмент организации. Руководящие указания по достижению экономического эффекта в системе менеджмента качества |
| Название англ.: | Enterprise management. Guidelines for realizing economic benefits in quality management system |
| Дата актуализации текста: | 06.04.2015 |
| Дата актуализации описания: | 01.07.2023 |
| Дата издания: | 29.05.2020 |
| Дата введения: | 01.12.2009 |
| Взамен: | ГОСТ Р ИСО/ТО 10014-2005 |
| Аутентичен стандартам: | ISO 10014:2006 |
| Нормативные ссылки: | ISO 9000:2000;ISO 9004:2000;ISO 10002:2004;ISO/TR 10017:2003;ISO 11462-1:2001;ISO 19011:2002;IEC 60300-3-3(2005) |
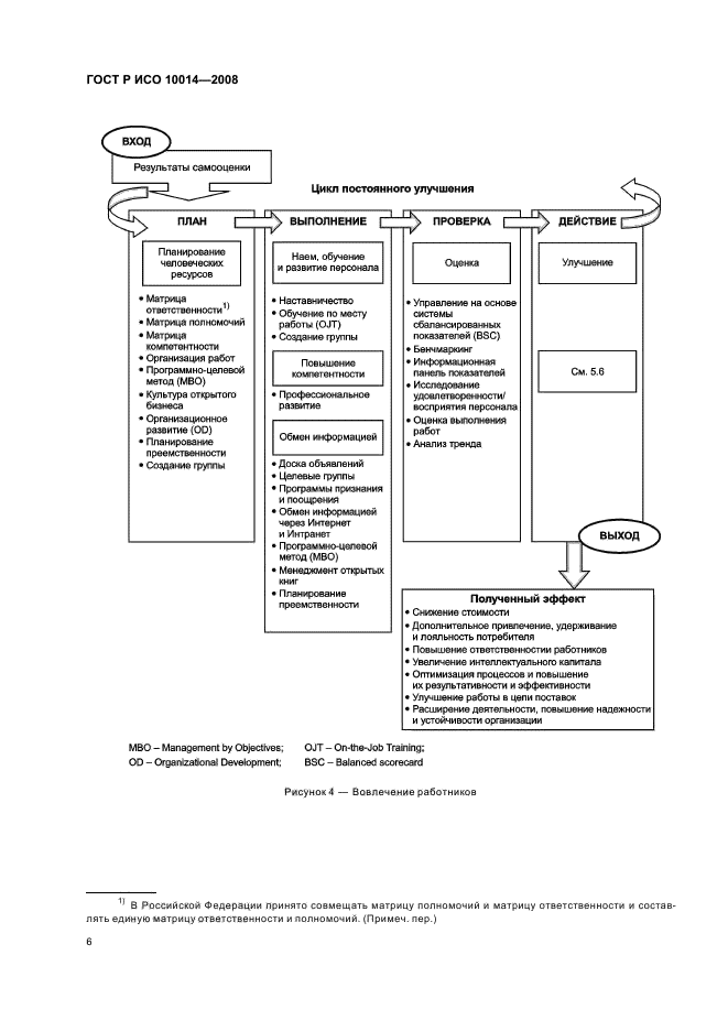
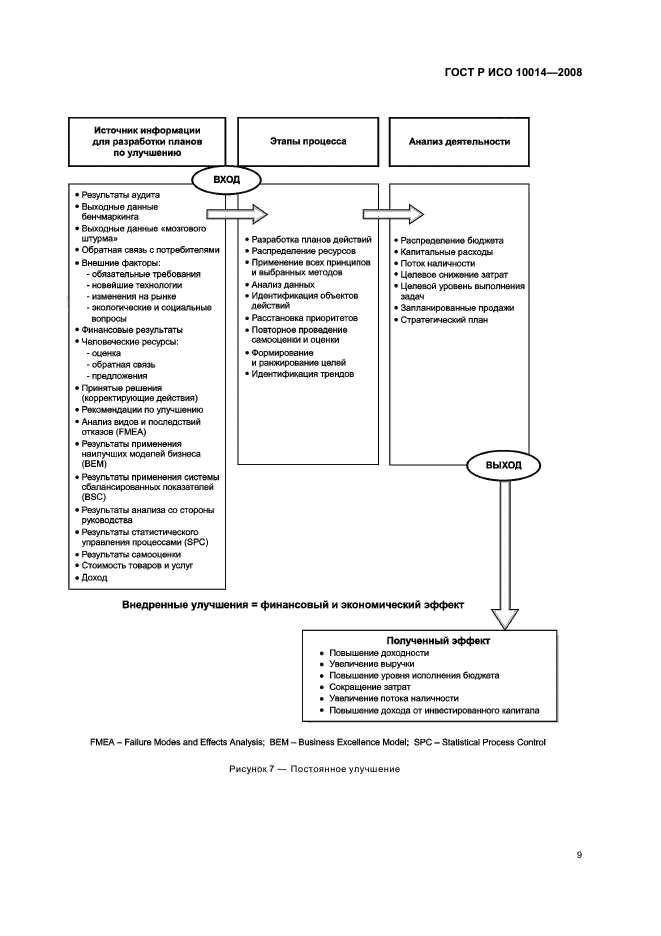
| Область применения: | Настоящий стандарт содержит руководящие указания по достижению экономического эффекта от применения принципов менеджмента качества, установленных ИСО 9000. Настоящий стандарт, дополняющий требования ИСО 9004, предназначен для высшего руководства организации. Стандарт содержит примеры достижимых результатов и необходимых для их получения методов и инструментов менеджмента. Стандарт содержит руководящие указания и рекомендации и не предназначен для целей сертификации и/или использования в договорах |
|
| Расположен в: |
|