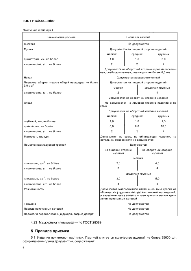
| ||||||||||||||||||||||||||||||||||||||||||||||
Скачать ГОСТ Р 53548-2009 Посуда майоликовая. Технические условияДата актуализации: 01.06.2025
| ||||||||||||||||||||||||||||||||||||||||||||||
| Обозначение: | ![]() ГОСТ Р 53548-2009 |
| Статус: | отменён |
| Название рус.: | Посуда майоликовая. Технические условия |
| Название англ.: | Majolica ware. General specifications |
| Дата актуализации текста: | 06.04.2015 |
| Дата актуализации описания: | 01.07.2023 |
| Дата издания: | 03.06.2010 |
| Дата введения: | 01.01.2011 |
| Дата окончания срока действия: | 01.07.2015 |
| На территории РФ пользоваться: | ГОСТ 32094-2013 |
| Нормативные ссылки: | ГОСТ 162-90; ГОСТ 166-89; ГОСТ 427-75; ГОСТ 1770-74; ГОСТ 18321-73; ГОСТ 28389-89; ГОСТ Р 53546-2009; ГОСТ Р 53547-2009; ГОСТ Р ИСО 2859-1-2007; ГОСТ Р ИСО 6486-1-2007; ГОСТ Р ИСО 6486-2-2007 |
| Область применения: | Настоящий стандарт распространяется на майоликовые посуду и изделия хозяйственного назначения, изготавливаемые из масс на основе беложгущихся и цветных глин, и устанавливает общие требования к продукции |
| Список изменений: | №0 от 12.07.2011 (рег. 12.07.2011) «Дата введения перенесена» №0 от 30.06.2015 (рег. 10.06.2014) «Текстовое изменение; Изменено заглавие» |
| Приложение №1: | Поправка к ГОСТ Р 53548-2009 |
| Приложение №2: | Поправка к ГОСТ Р 53548-2009 |
| Расположен в: | |













| Обозначение: | Поправка к ГОСТ Р 53548-2009 |
| Дата введения: | 13.07.2011 |

| Обозначение: | Поправка к ГОСТ Р 53548-2009 |
| Дата введения: | 12.07.2011 |
