| Обозначение: |  ГОСТ Р ИСО 15704-2008 |
| Статус: | заменён |
| Название рус.: | Промышленные автоматизированные системы. Требования к стандартным архитектурам и методологиям предприятия |
| Название англ.: | Industrial automation systems – Requirements for interprise-reference architectures and methodologies |
| Дата актуализации текста: | 06.04.2015 |
| Дата актуализации описания: | 01.07.2023 |
| Дата издания: | 18.05.2020 |
| Дата введения: | 01.01.2010 |
| Дата окончания срока действия: | 01.01.2023 |
| Заменяющий: | ГОСТ Р ИСО 15704-2022 |
| Аутентичен стандартам: | ISO 15704:2000 |
| Нормативные ссылки: | ISO 14258;ISO 14258:1998/Cor.1:2000 |
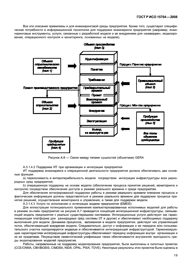
| Область применения: | Настоящий стандарт устанавливает требования к стандартным архитектурам предприятия и методологиям, а также требования по их соответствию полному (завершенному) представлению стандартной архитектуры предприятия и методологиям. Область применения стандартных архитектур предприятия и методологий распространяется на следующие составные части, обязательные для выполнения всех типов проектов по созданию предприятий, а также на любые изменяющиеся проекты, необходимые в течение всего срока жизни предприятия, включая: а) создание предприятия; b) выполнение работ по реструктуризации предприятия с) нарастающие изменения, распространяющиеся только на части жизненного цикла предприятия |
|
| Расположен в: |
|