| Обозначение: |  ГОСТ Р ИСО 15926-1-2008 |
| Статус: | действующий |
| Название рус.: | Промышленные автоматизированные системы и интеграция. Интеграция данных жизненного цикла для перерабатывающих предприятий, включая нефтяные и газовые производственные предприятия. Часть 1. Обзор и основополагающие принципы |
| Название англ.: | Industrial automation systems and integration. Integration of life-cycle data for process plants including oil and gas production facilities. Part 1. Overview and fundamental principles |
| Дата актуализации текста: | 06.04.2015 |
| Дата актуализации описания: | 01.07.2023 |
| Дата издания: | 21.01.2019 |
| Дата введения: | 01.01.2010 |
| Аутентичен стандартам: | ISO 15926-1:2004 |
| Нормативные ссылки: | ISO/IEC 8824-1:1995;ISO 10303-1:1994;ISO 10303-11:1994;ISO 10303-21:1994;ISO 10303-22:1998;ISO/ТС 10303-28:2003;ISO 15926-2;ISO 13584-1:2001;ISO/ТС 18876-1;ISO/ТО 9007:1987 |
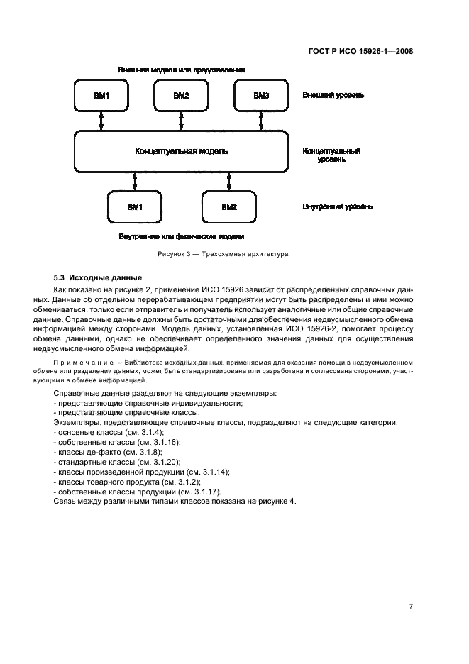
| Область применения: | Настоящий стандарт применяют для предоставления информации, связанной с проектированием, строительством и эксплуатацией перерабатывающих предприятий. Настоящий стандарт устанавливает: - требования к информации перерабатывающих секторов промышленности на всех этапах жизненного цикла предприятия; - правила распределения и интеграции информации между сторонами, участвующими в жизненном цикле предприятия. Область применения настоящего стандарта распространяется на: - общую, концептуальную модель данных, подкрепляющую представление всех аспектов жизненного цикла перерабатывающего предприятия; - исходные данные, представляющие информацию общую для многих перерабатывающих предприятий и пользователей; - требования к области деятельности и информации по дополнительным исходным данным; - процедуры регистрации и ведения исходных данных; - шаблоны обмена данными, используемые в определенном контексте и их картографию к концептуальной модели данных; - методы разработки таких шаблонов и их картографию к концептуальной модели данных; - соответствие требованиям настоящего стандарта |
|
| Расположен в: |
|