| Обозначение: |  ГОСТ Р 52459.14-2009 |
| Статус: | отменён |
| Название рус.: | Совместимость технических средств электромагнитная. Технические средства радиосвязи. Часть 14. Частные требования к аналоговым и цифровым наземным телевизионным радиопередатчикам |
| Название англ.: | Еlectromagnetic compatibility of technical equipment. Radio communication equipment. Part 14. Specific requirements for analogue and digital terrestrial TV broadcasting service transmitters |
| Дата актуализации текста: | 06.04.2015 |
| Дата актуализации описания: | 01.07.2023 |
| Дата издания: | 15.02.2010 |
| Дата введения: | 01.01.2010 |
| Дата окончания срока действия: | 01.01.2014 |
| Содержит требования: | EN 301 489-14-2003 |
| На территории РФ пользоваться: | ГОСТ 32134.14-2013 |
| Нормативные ссылки: | ГОСТ Р 50397-92; ГОСТ Р 51317.4.3-2006; ГОСТ Р 51318.11-2006; ГОСТ Р 52459.1-2009; ГОСТ 24375-80; ГОСТ 30372-95 |
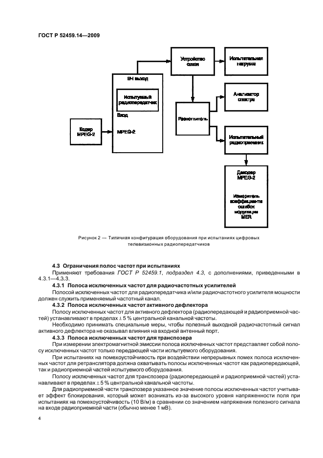
| Область применения: | Настоящий стандарт, совместно с ГОСТ Р 52459.1, устанавливает требования электромагнитной совместимости к аналоговым и цифровым радиопередатчикам, возбудителям и связанному с ними вспомогательному оборудованию, предназначенным для применения в радиовещательной службе для передачи телевидения, а также соответствующие методы испытаний. Настоящий стандарт не устанавливает требований, относящихся к антенному порту радиопередатчиков и эмиссии излучаемых помех от порта корпуса радиопередатчиков. Настоящий стандарт также устанавливает условия испытаний, оценку качества функционирования и критерии качества функционирования для аналоговых и цифровых наземных телевизионных радиопередатчиков и связанного с ними вспомогательного оборудования |
| Список изменений: | №0 от 01.01.2014 (рег. 21.07.2013) «Текстовое изменение; Изменено заглавие» |
|
| Расположен в: |
|