| Обозначение: |  ГОСТ Р 53188.1-2008 |
| Статус: | отменён |
| Название рус.: | Шумомеры. Часть 1. Технические требования |
| Название англ.: | Sound level meters. Part 1. Technical requirements |
| Дата актуализации текста: | 06.04.2015 |
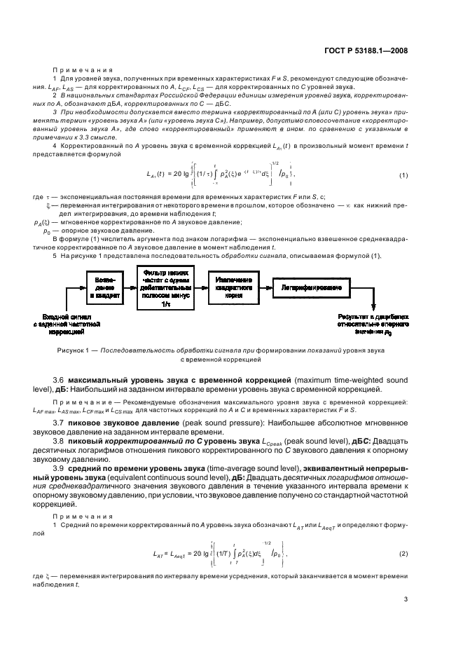
| Дата актуализации описания: | 01.07.2023 |
| Дата издания: | 07.04.2009 |
| Дата введения: | 01.12.2009 |
| Дата окончания срока действия: | 01.11.2012 |
| Содержит требования: | IEC 61672-1(2002) |
| На территории РФ пользоваться: | ГОСТ 17187-2010 |
| Нормативные ссылки: | ГОСТ Р 51317.4.2-99; ГОСТ Р 51317.6.2-2007; ГОСТ Р 5318.16.1.1-2007 |
| Область применения: | Настоящий стандарт устанавливает требования к электроакустическим характеристикам для приборов трех видов, предназначенных для измерения звука: - обычные шумомеры, которые измеряют уровень звука с экспоненциальной временной коррекцией; - интегрирующие-усредняющие шумомеры, которые измеряют линейно усредненный по времени уровень звука; - интегрирующие шумомеры, которые измеряют уровень звукового воздействия. Настоящий стандарт устанавливает требования к шумомерам 1-го и 2-го класса. Шумомеры 1-го и 2-го классов имеют одни и те же номинальные значения характеристик и отличаются допустимыми отклонениями этих характеристик и рабочим диапазоном температур. Предельные отклонения характеристик для шумомеров 2-го класса больше или равны предельным отклонениям для шумомеров 1-го класса. Стандарт распространяется на шумомеры различных конструкций. Шумомер может быть отдельным ручным прибором с присоединенным микрофоном и встроенным устройством отображения. Шумомер может состоять из отдельных частей в одном или более корпусах и отображать заданный набор уровней акустического сигнала. Шумомер может выполнять сложную аналоговую или цифровую обработку сигналов, каждого по отдельности или совместно, со многими аналоговыми или цифровыми выходами. В состав шумомеров могут входить компьютеры общего назначения, устройства регистрации, печатающие и другие устройства, составляющие неотъемлемую часть укомплектованного прибора |
| Список изменений: | №0 от 01.11.2012 (рег. 15.12.2011) «Текстовое изменение; Изменено заглавие» |
|
| Расположен в: |
|