| Обозначение: |  ГОСТ Р 52977-2008 |
| Статус: | действующий |
| Название рус.: | Информатизация здоровья. Состав данных о взаиморасчетах за пролеченных пациентов для электронного обмена этими данными. Общие требования |
| Название англ.: | Health informatics. Structure of data about interconnections of the treated patients for the electronic exchange of these data. General requirements |
| Дата актуализации текста: | 01.01.2021 |
| Дата актуализации описания: | 01.07.2023 |
| Дата издания: | 31.10.2018 |
| Дата введения: | 01.05.2009 |
| Нормативные ссылки: | ГОСТ Р ИСО/МЭК 8824-1; ГОСТ Р ИСО/МЭК 8824-2; ГОСТ Р 52979; ГОСТ ИСО 8601 |
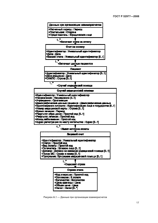
| Область применения: | Настоящий стандарт устанавливает требования к составу данных при организации взаиморасчетов между субъектами системы медицинского страхования для обеспечения электронного обмена при информационном взаимодействии автоматизированных информационных систем. Настоящий стандарт распространяется на автоматизированные информационные системы, формирующие или использующие данные взаиморасчетов за пролеченных пациентов по программе медицинского страхования. Понятие "электронный обмен" используется с целью распространения области применения стандарта только на данные взаиморасчетов за пролеченных пациентов по программе медицинского страхования, используемые при взаимодействии автоматизированных информационных систем |
|
| Расположен в: |
|