| Обозначение: |  ГОСТ Р 52979-2008 |
| Статус: | действующий |
| Название рус.: | Информатизация здоровья. Состав данных сводного регистра застрахованных граждан для электронного обмена этими данными. Общие требования |
| Название англ.: | Health informatics. Database organization of policy of medical insurance for electronic data interchange. General requirements |
| Дата актуализации текста: | 01.01.2021 |
| Дата актуализации описания: | 01.07.2023 |
| Дата издания: | 14.11.2018 |
| Дата введения: | 01.05.2009 |
| Нормативные ссылки: | ГОСТ Р ИСО/МЭК 8824-1; ГОСТ Р ИСО/МЭК 8824-2; ГОСТ Р 52977; ГОСТ ИСО 8601 |
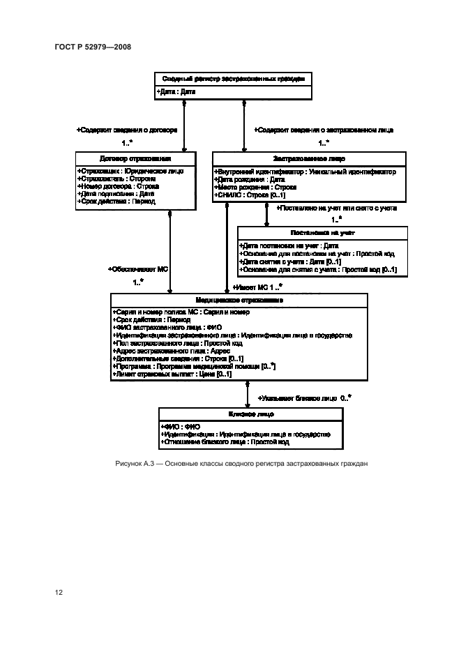
| Область применения: | Настоящий стандарт устанавливает общие требования к составу данных сводного регистра застрахованных граждан Российской Федерации в системе медицинского страхования для обеспечения электронного обмена этими данными при информационном взаимодействии автоматизированных информационных систем. Настоящий стандарт распространяется на автоматизированные информационные системы, формирующие или использующие данные сводного регистра застрахованных граждан в системе медицинского страхования. Понятие "электронный обмен" используется с целью распространения области применения стандарта только на данные сводного регистра застрахованных граждан, используемые для взаимодействия автоматизированных информационных систем |
|
| Расположен в: |
|