| Обозначение: |  ГОСТ Р 52161.2.27-2008 |
| Статус: | отменён |
| Название рус.: | Безопасность бытовых и аналогичных электрических приборов. Часть 2-27. Частные требования к приборам ультрафиолетового и инфракрасного излучений для ухода за кожей |
| Название англ.: | Safety of household and similar electrical appliances. Part 2.27. Particular requirements for appliances for skin exposure to ultraviolet and infrared radiation |
| Дата актуализации текста: | 06.04.2015 |
| Дата актуализации описания: | 01.07.2023 |
| Дата издания: | 02.03.2009 |
| Дата введения: | 01.01.2010 |
| Дата окончания срока действия: | 01.01.2014 |
| Код ОКП: | 346869 |
| Взамен: | ГОСТ Р МЭК 60335-2-27-2000 |
| Содержит требования: | IEC 60335-2-27(2007) |
| На территории РФ пользоваться: | ГОСТ МЭК 60335-2-27-2009 |
| Нормативные ссылки: | ГОСТ Р 12.4.026-2001; ГОСТ Р 52161.1-2004; ГОСТ Р МЭК 60598-1-2003 |
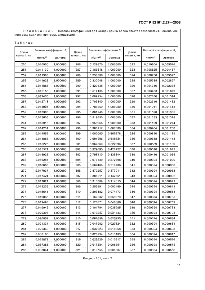
| Область применения: | Настоящий стандарт устанавливает требования безопасности к электрическим приборам, имеющим излучатели, предназначенные для ухода за кожей ультрафиолетовыми и инфракрасными лучами бытового и аналогичного применения номинальным напряжением не более: 250 В - для однофазных приборов и 480 В - для других приборов. Приборы, не предназначенные для бытового использования, но которые, тем не менеее, могут быть источником опасности для людей, например приборы, предназначенные для использования в соляриях, салонах красоты и аналогичных местах, входят в область распространения настоящего стандарта. Настоящий стандарт устанавливает основные виды опасностей при использовании приборов, с которыми люди сталкиваются внутри и вне дома. Настоящий стандарт не учитывает опасностей, возникающих в случае: - использование приборов без надзора и инструкций людьми (включая детей), у которых есть физические, нервные или психические отклонения или недостаток опыта и знаний, препятствующие безопасной эксплуатации прибора без надзора и инструкций; - использование приборов детьми для игр |
| Список изменений: | №0 от 01.01.2014 (рег. 17.10.2012) «Текстовое изменение; Изменено заглавие» |
|
| Расположен в: |
|