| Обозначение: |  ГОСТ Р 52946-2008 |
| Статус: | заменён |
| Название рус.: | Нефтепродукты. Определение детонационных характеристик моторных и авиационных топлив. Моторный метод |
| Название англ.: | Petroleum products. Determination of knock characteristics of motor and aviation fuels. Motor method |
| Дата актуализации текста: | 06.04.2015 |
| Дата актуализации описания: | 01.07.2023 |
| Дата издания: | 14.11.2008 |
| Дата введения: | 01.01.2009 |
| Дата окончания срока действия: | 01.07.2020 |
| Заменяющий: | ГОСТ Р 52946-2019 |
| Содержит требования: | EN ISO 5163:2005 |
| Нормативные ссылки: | ГОСТ 21743-76 |
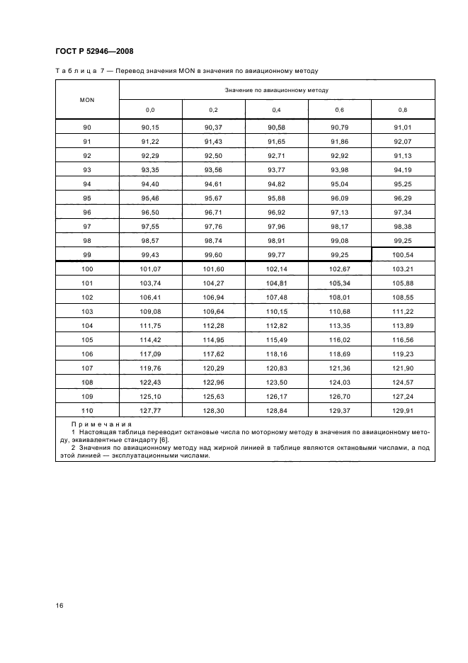
| Область применения: | Настоящий стандарт устанавливает метод оценки детонационных характеристик жидкого топлива для двигателей с искровым зажиганием с помощью условной шкалы октановых чисел, используя одноцилиндровый четырехтактный карбюраторный с переменной степенью сжатия двигатель CFR, работающий с постоянной скоростью, или отечественный двигатель типа УИТ-85М. Определение октанового числа по моторному методу (MON) предусматривает измерение детонационных характеристик моторных топлив в автомобильных двигателях в жестких условиях эксплуатации, а также позволяет измерять детонационные характеристики авиационных топлив в авиационных поршневых двигателях, применяя уравнение корреляции к октановому числу по авиационному методу или к определенному экспериментально октановому числу (октановое число для обедненной смеси по авиационному методу) |
|
| Расположен в: |
|