| Обозначение: |  ГОСТ Р 50431-92 |
| Статус: | заменён |
| Название рус.: | Термопары. Часть 1. Номинальные статические характеристики преобразования |
| Название англ.: | Termocouplers. Part 1. Nominal static graduation tables |
| Дата актуализации текста: | 06.04.2015 |
| Дата актуализации описания: | 01.07.2023 |
| Дата издания: | 28.04.1993 |
| Дата введения: | 01.01.1994 |
| Дата окончания срока действия: | 01.07.2002 |
| Код ОКП: | 421150 |
| Заменяющий: | ГОСТ Р 8.585-2001 |
| Содержит требования: | IEC 60584-1(1977) |
| Нормативные ссылки: | ГОСТ 8.157-75 |
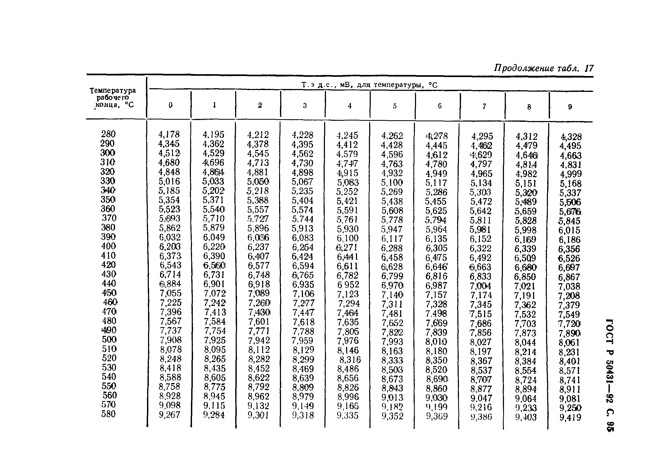
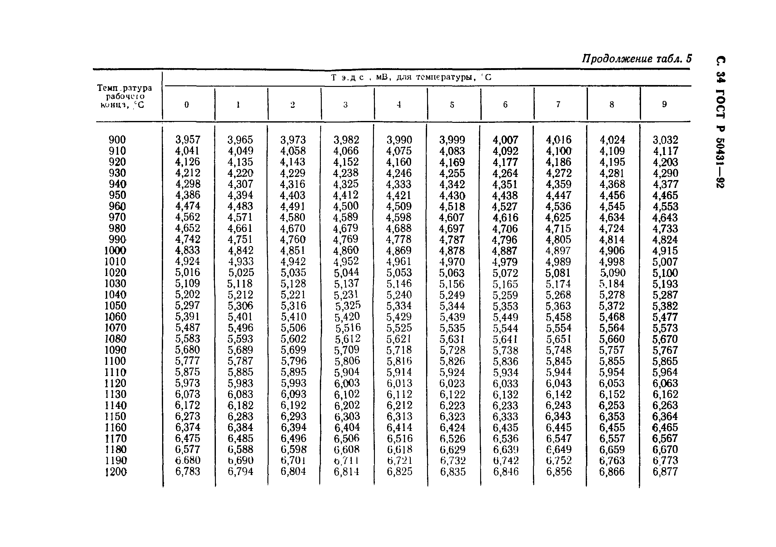
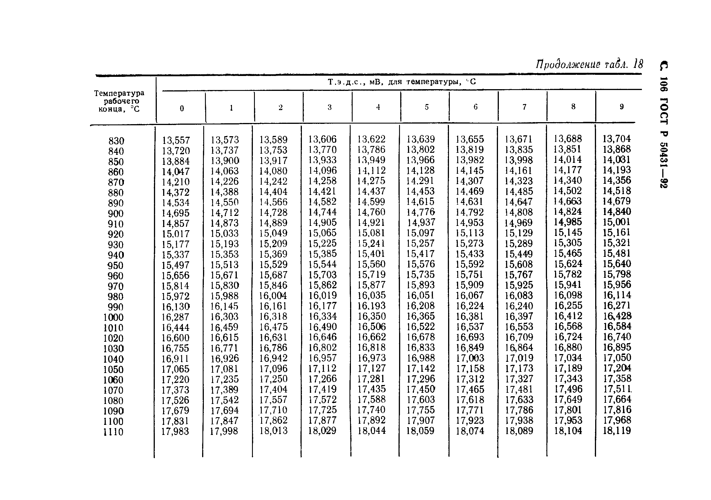
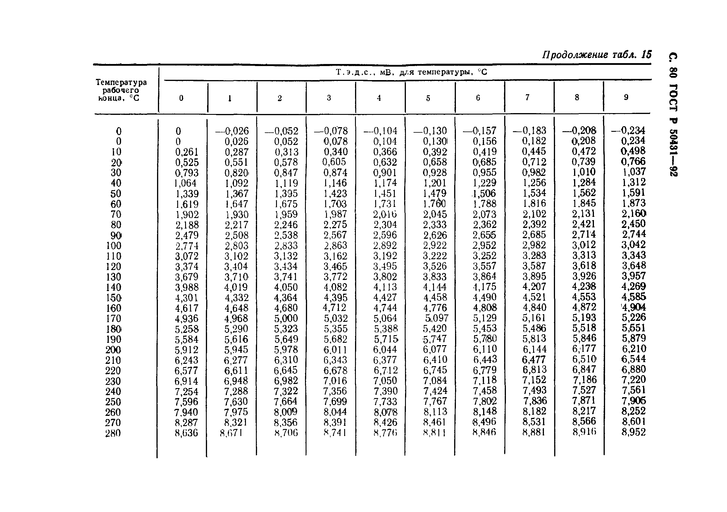
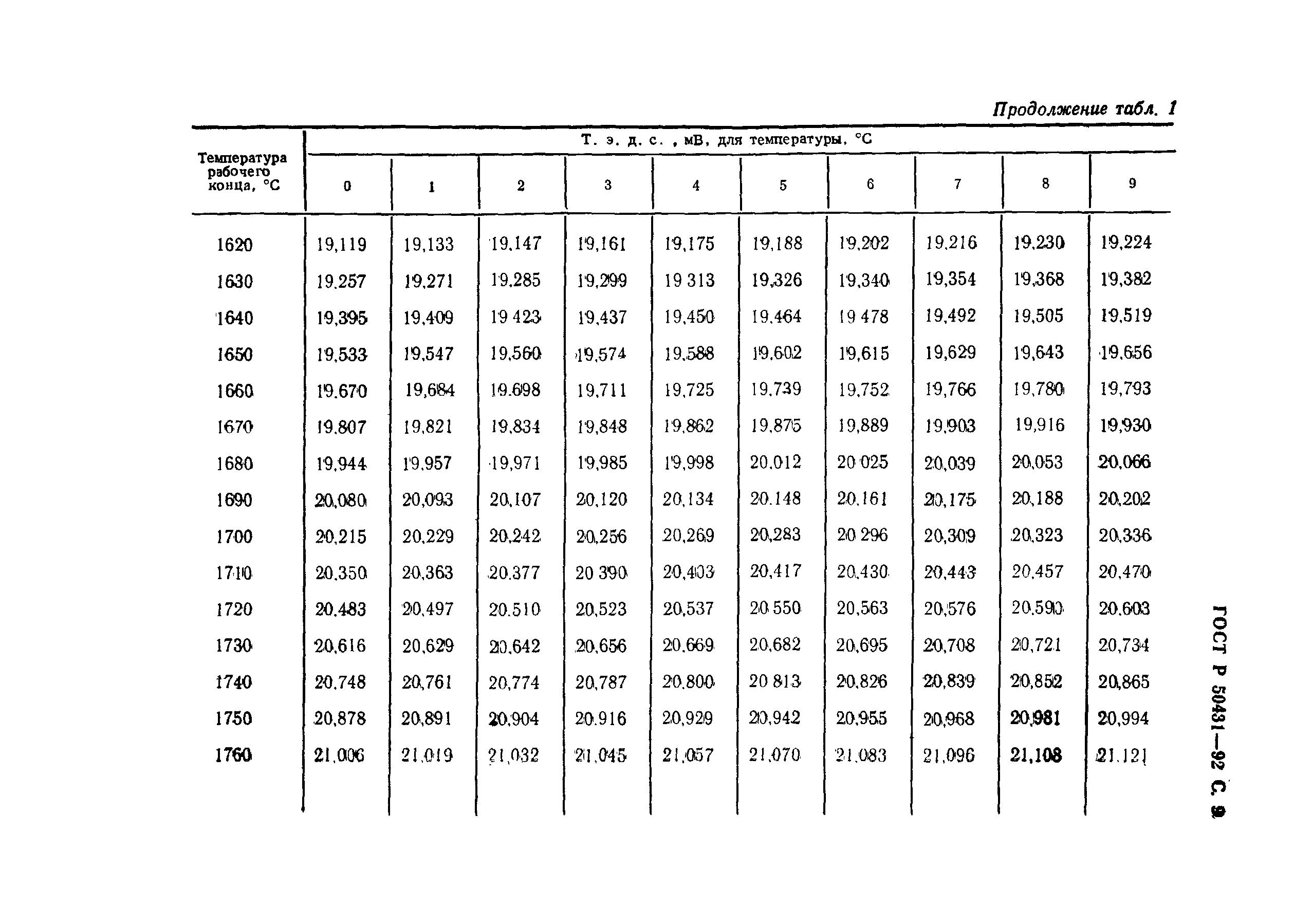
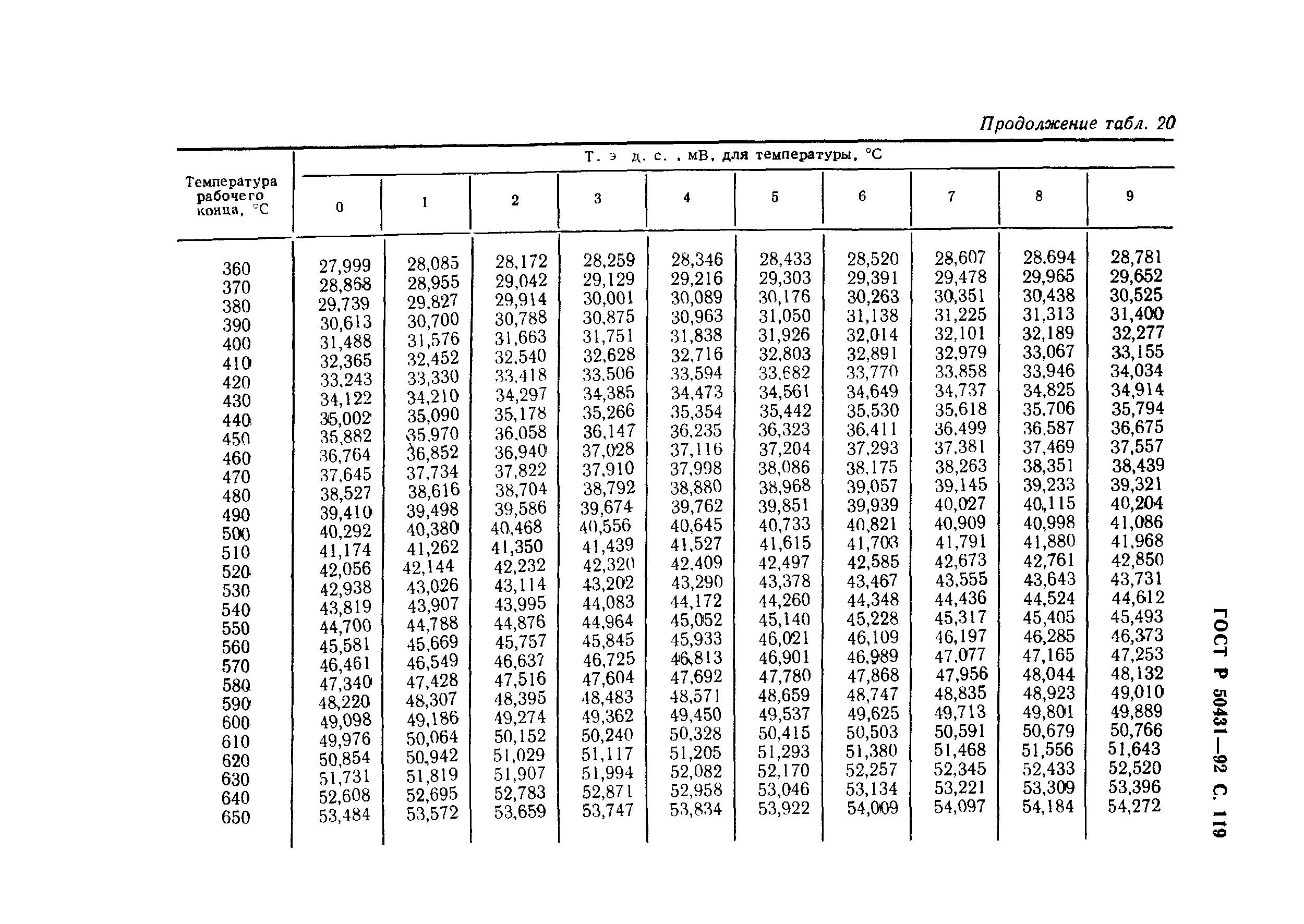
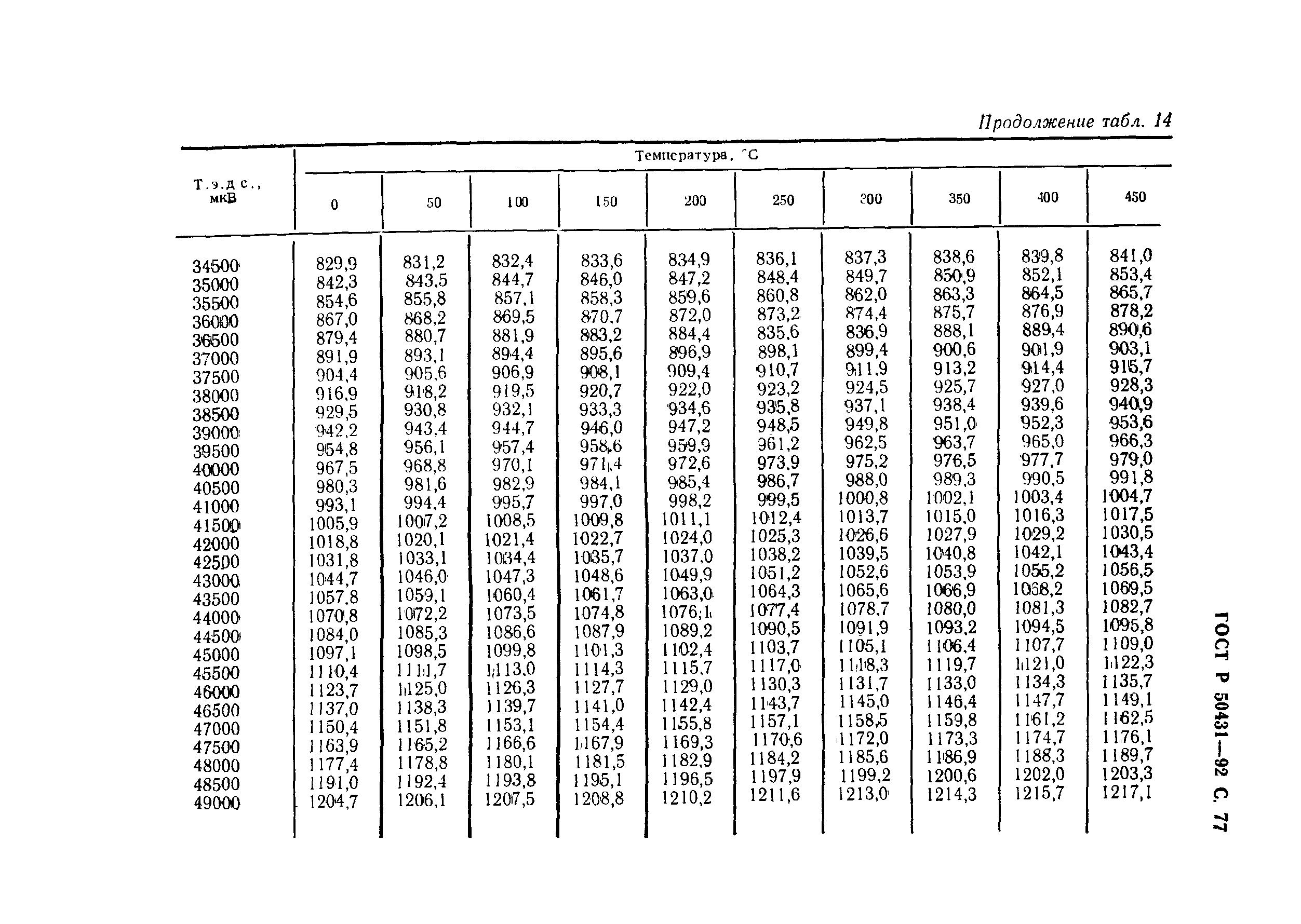
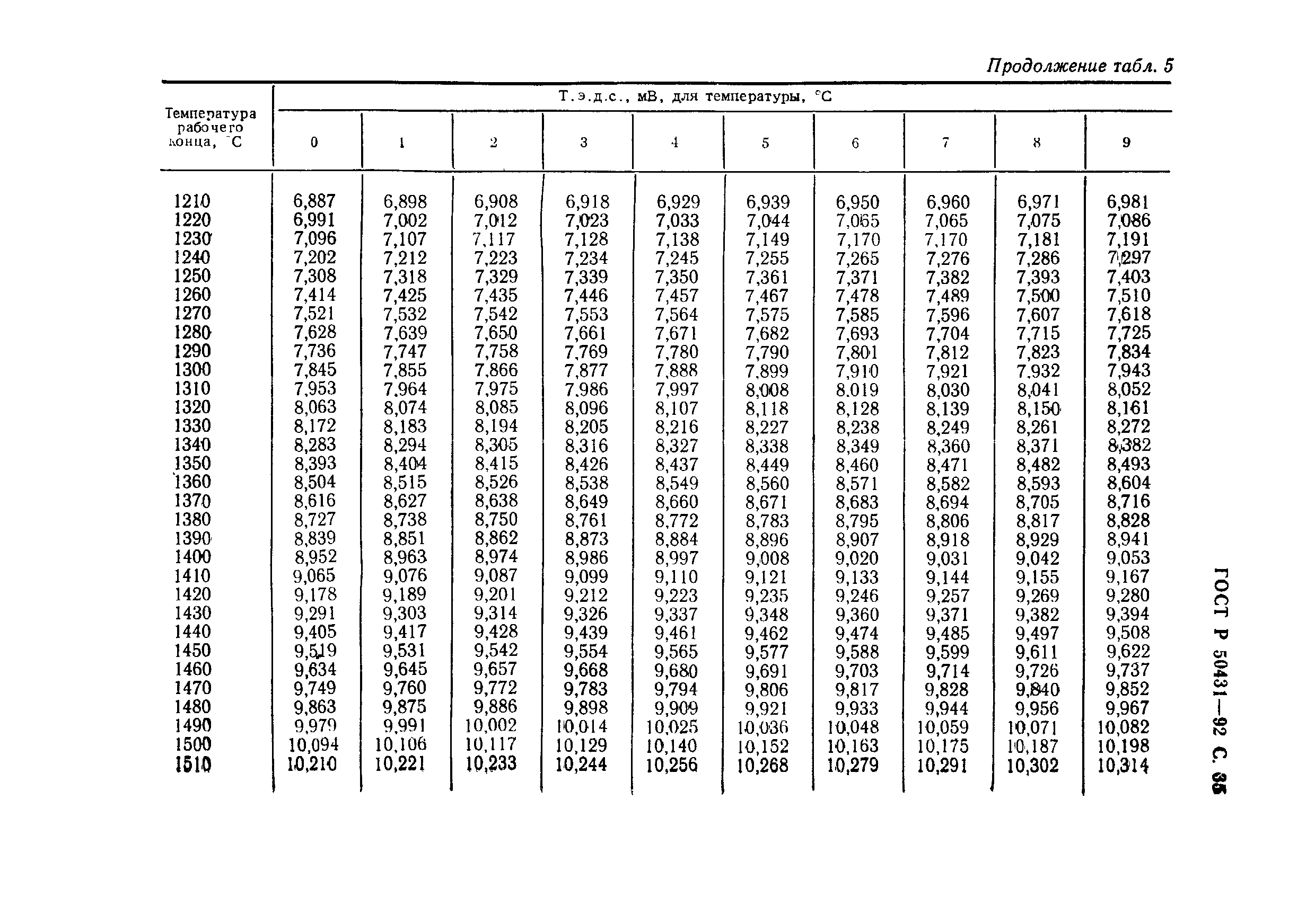
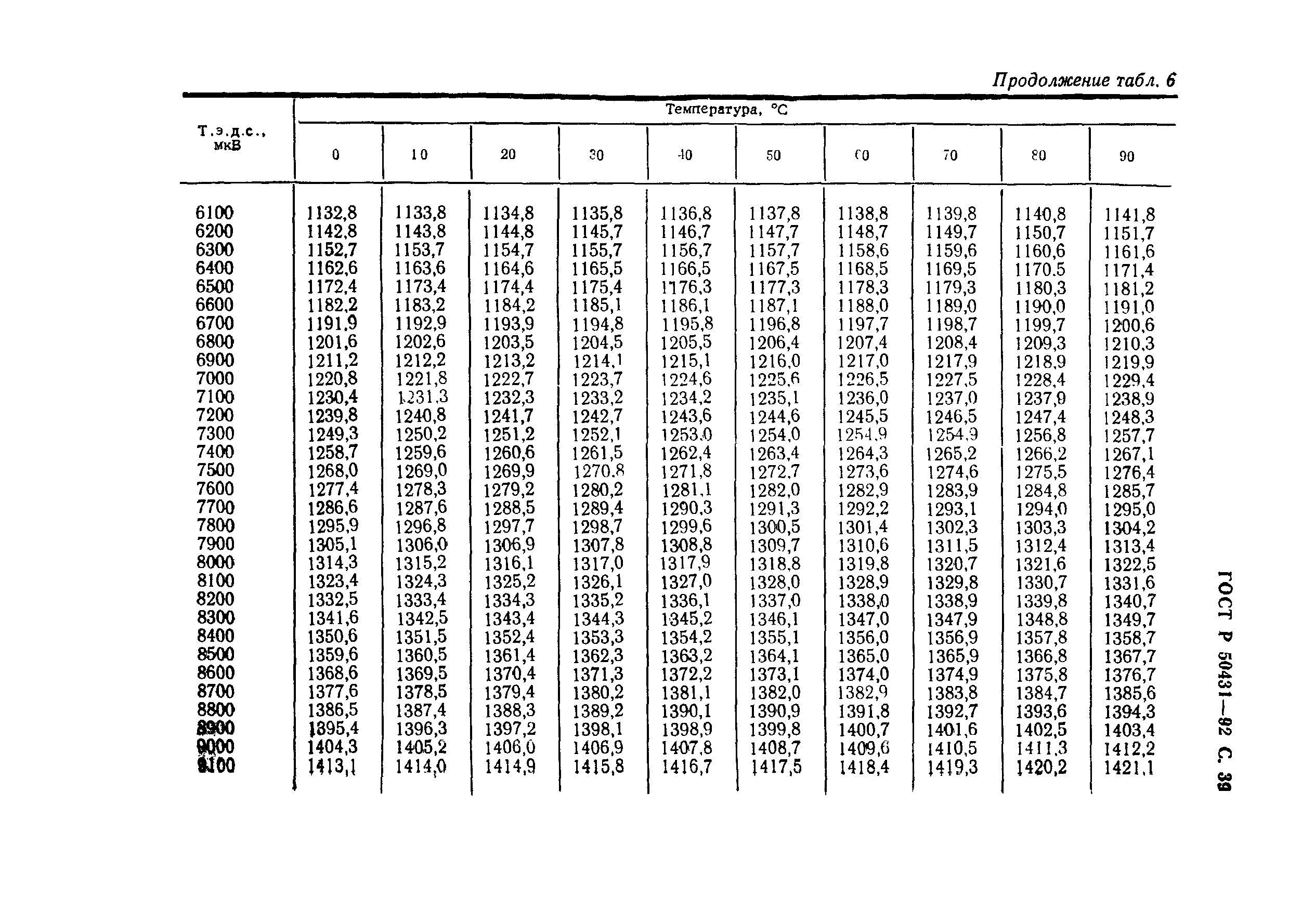
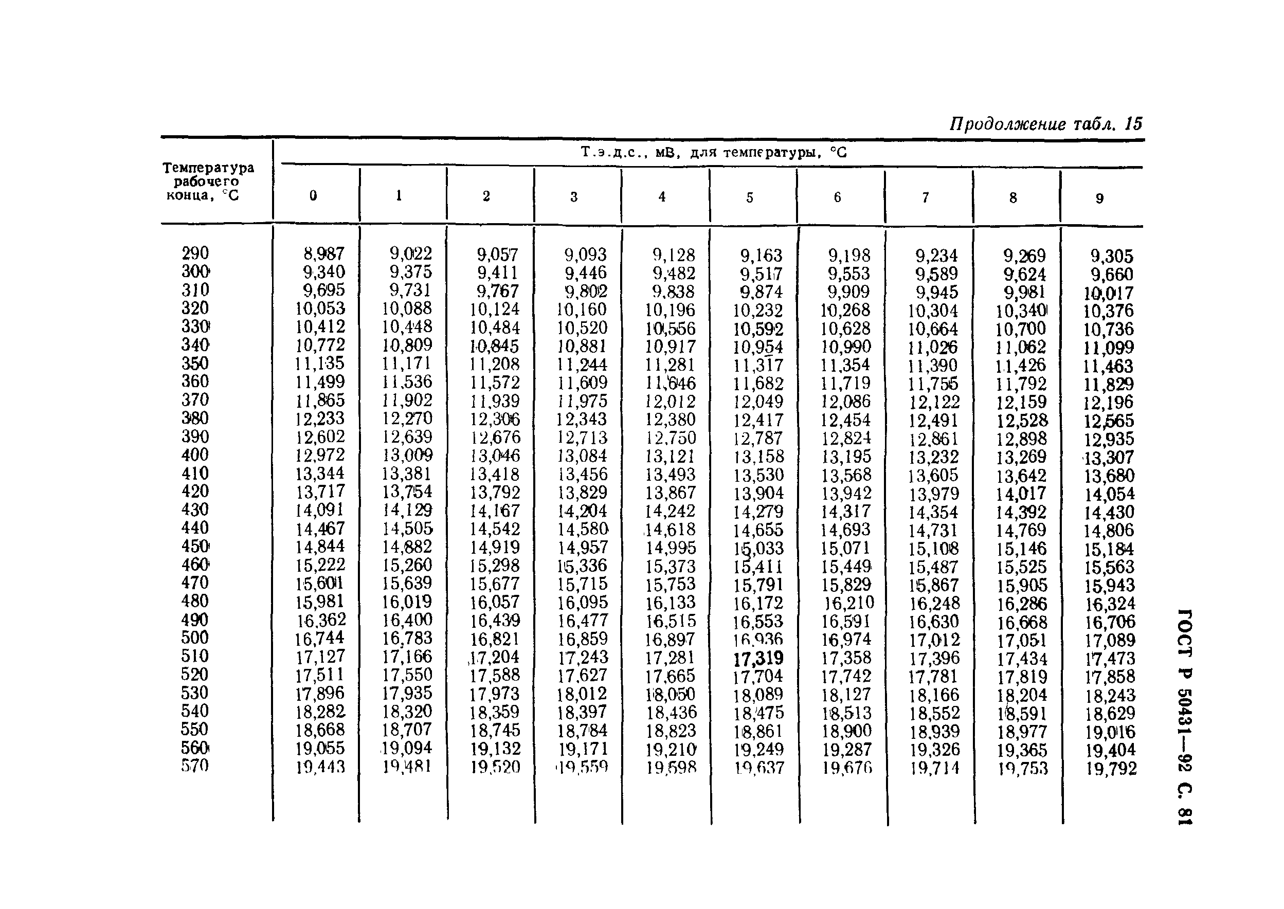
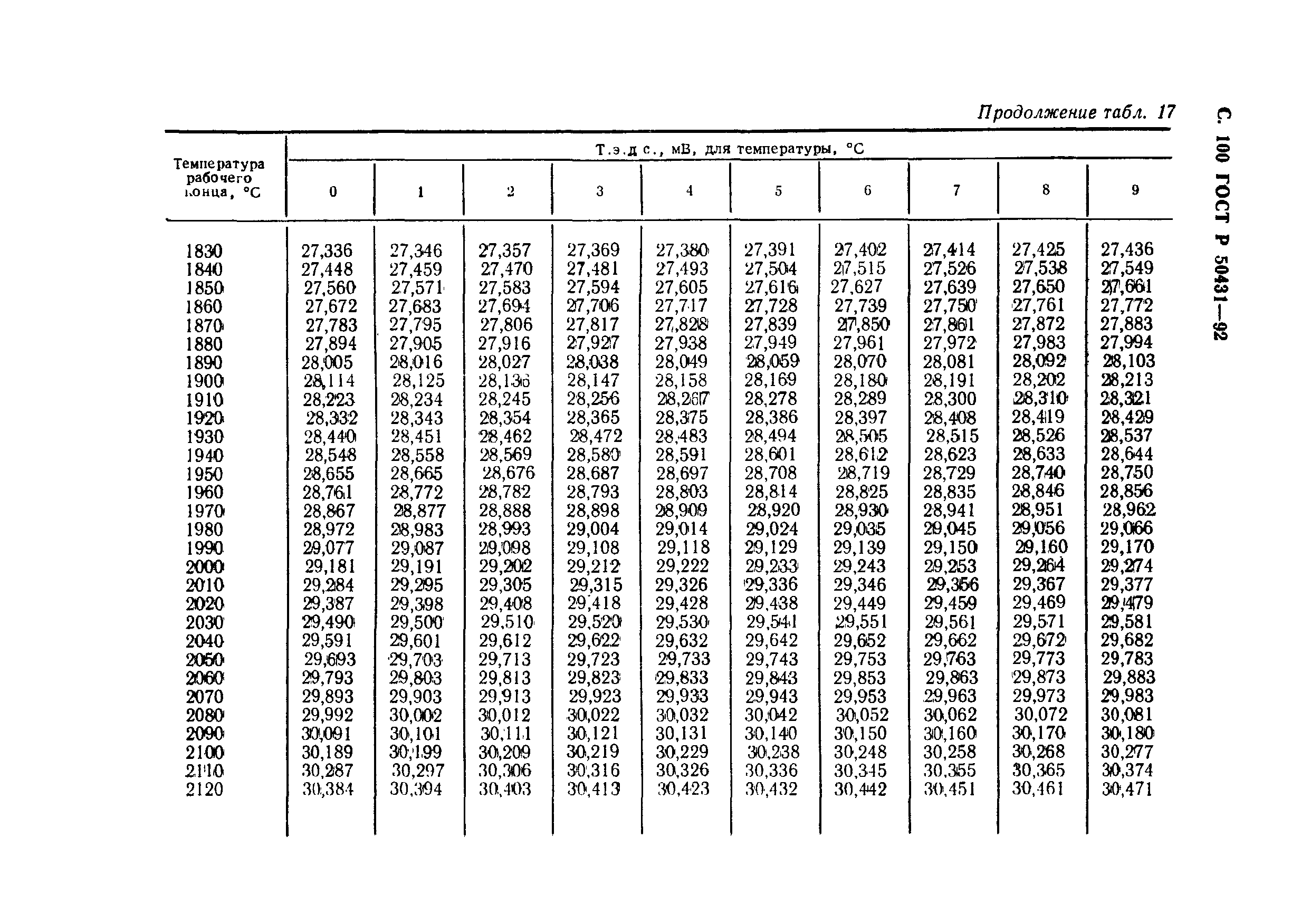
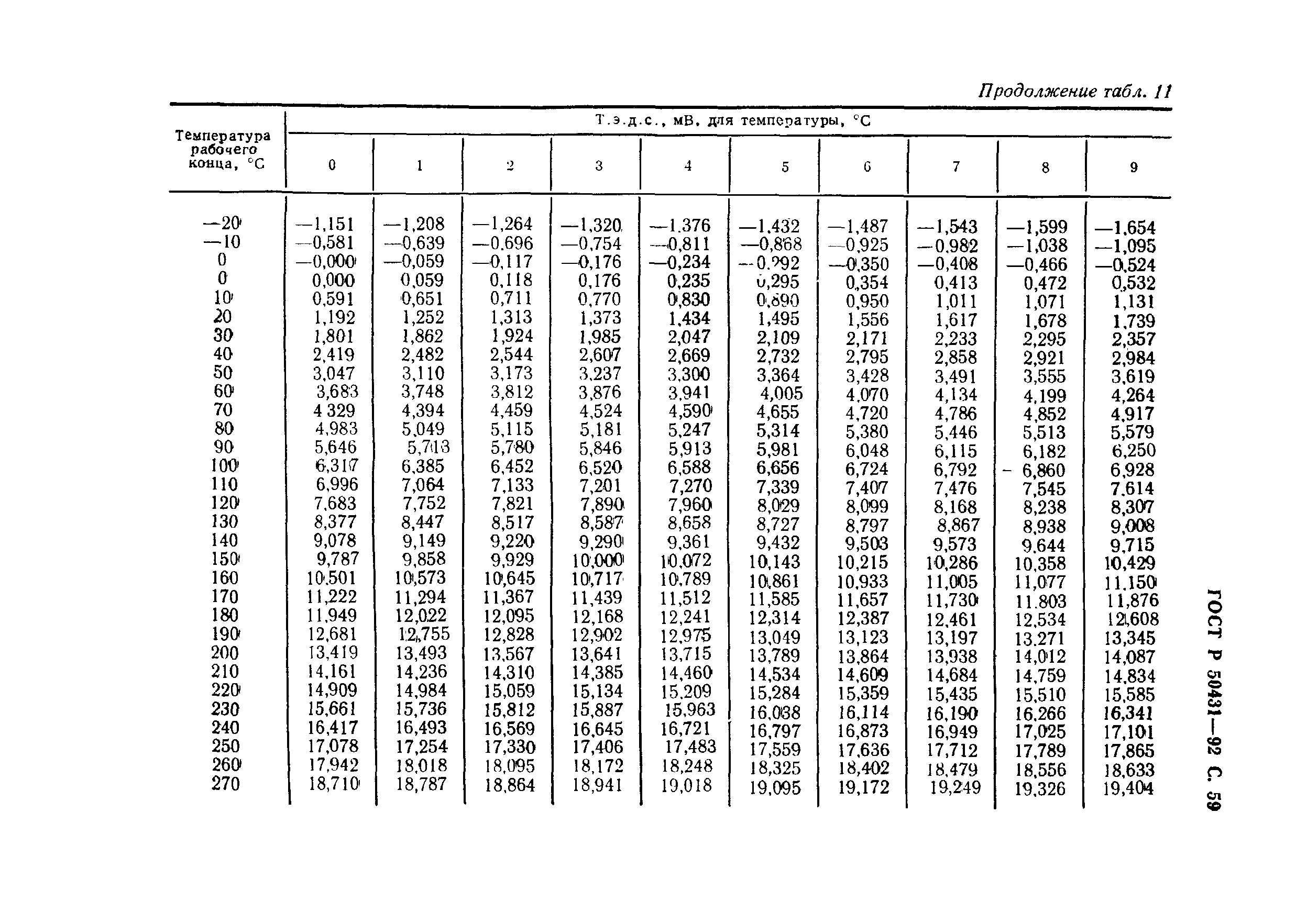
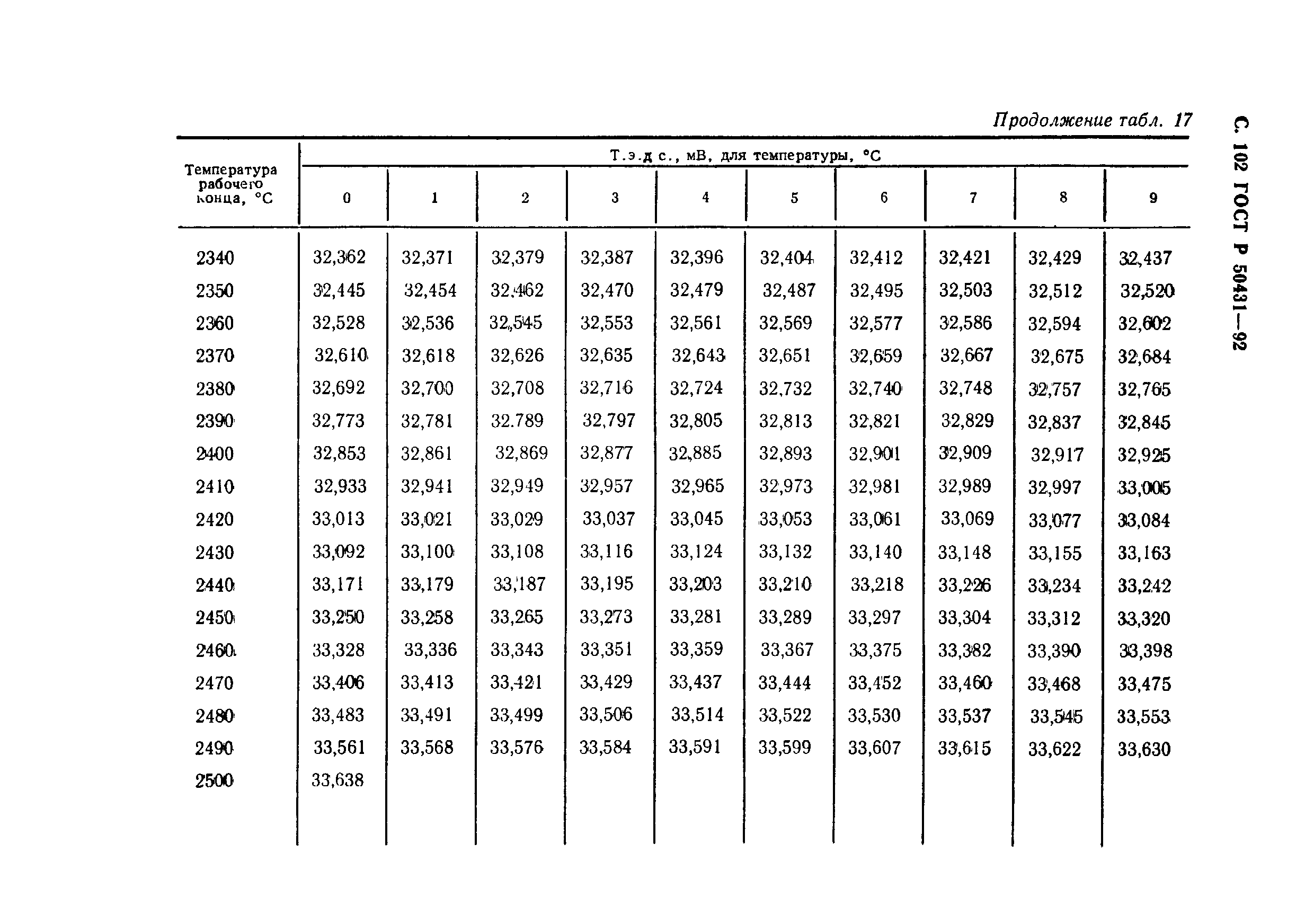
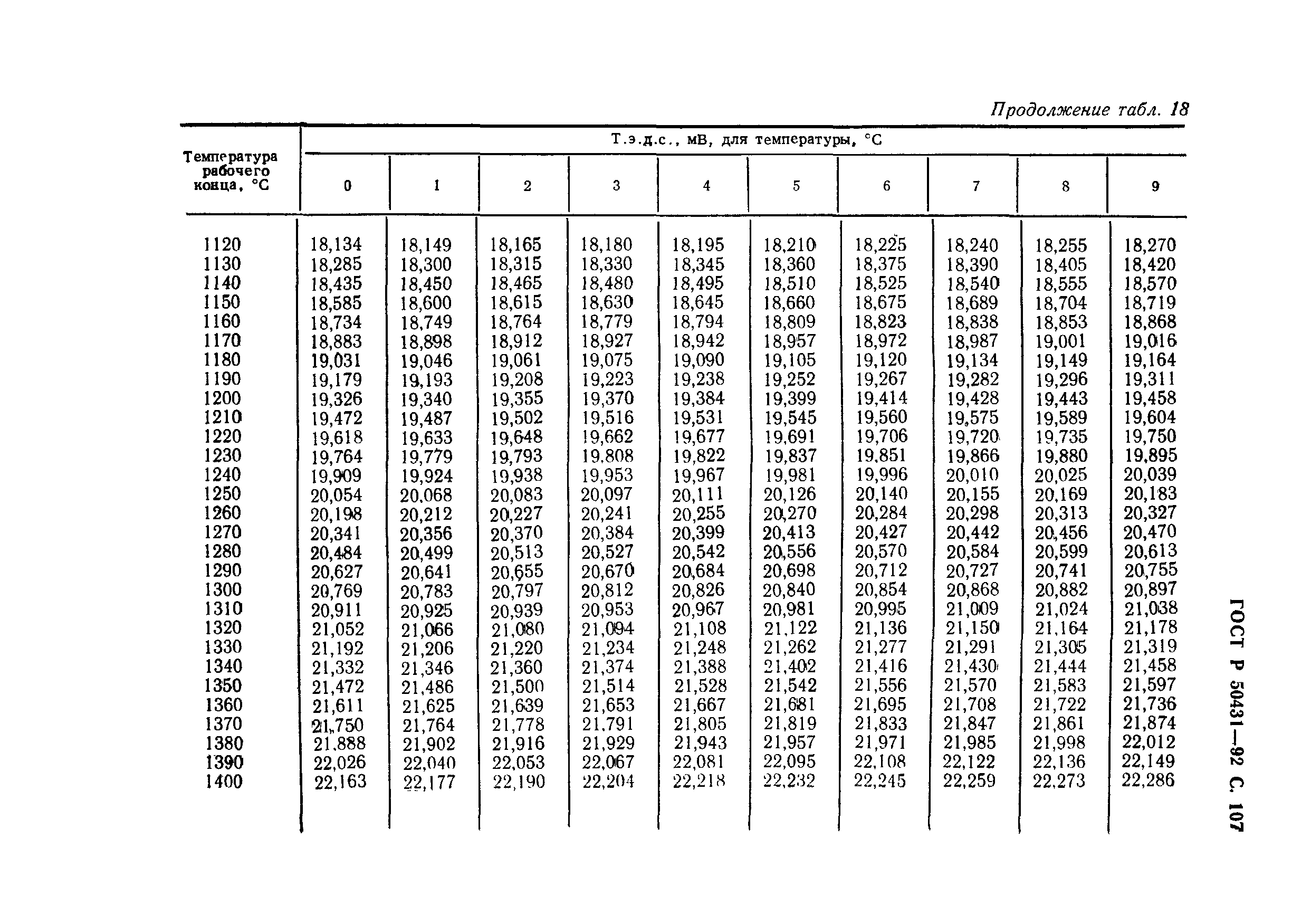
| Область применения: | Настоящий стандарт устанавливает номинальные статические характеристики преобразования термопар, т.е. зависимость термоэлектродвижущей силы термопар от температуры рабочего конца при нулевой температуре свободных концов и обратную зависимость |
|
| Расположен в: |
|