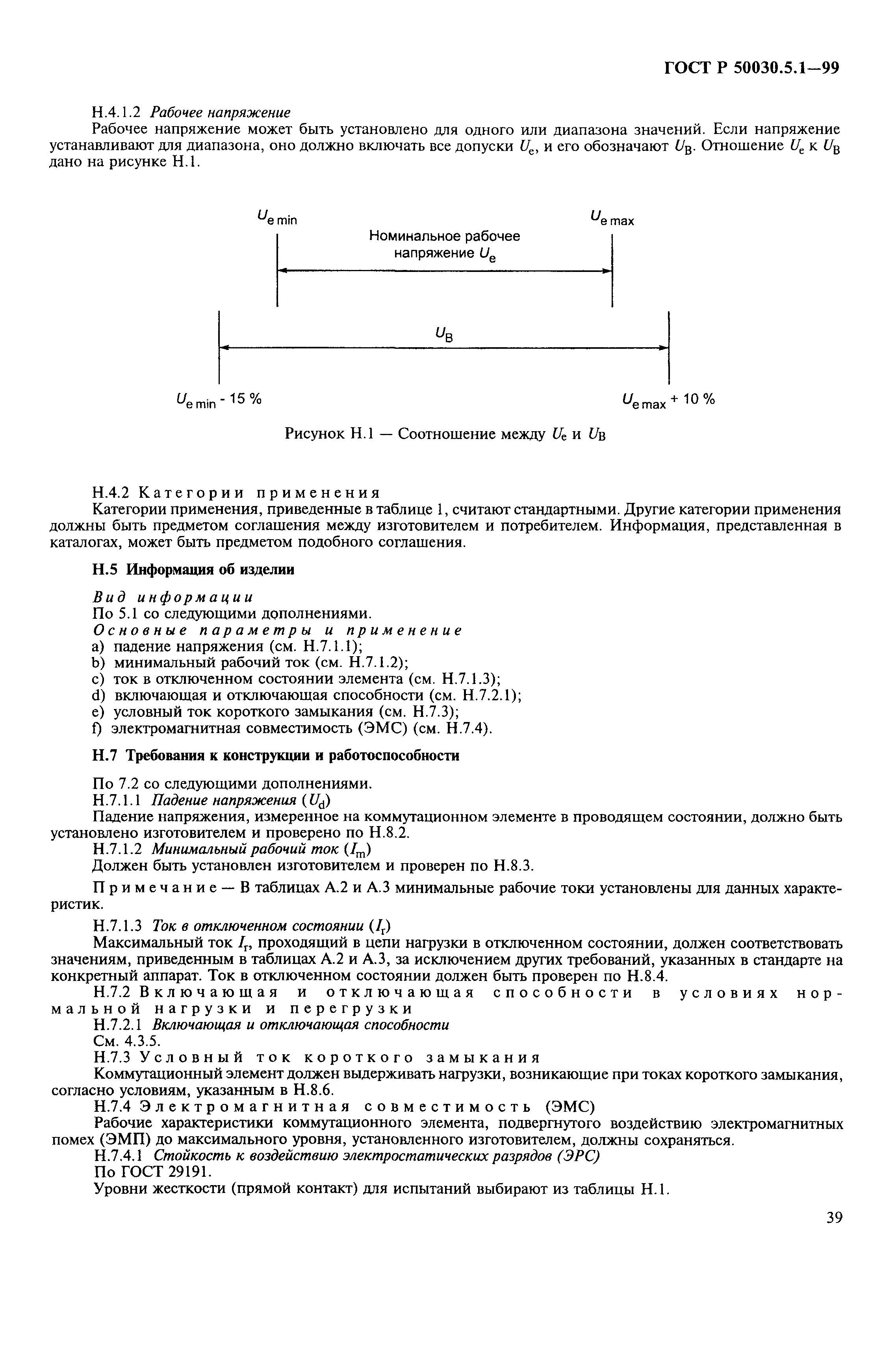
| ||||||||||||||||||||||||||||||||||||
Скачать ГОСТ Р 50030.5.1-99 Аппаратура распределения и управления низковольтная. Часть 5.1. Аппараты и коммутационные элементы цепей управления. Электромеханические аппараты для цепей управленияДата актуализации: 01.06.2025
| ||||||||||||||||||||||||||||||||||||
| Обозначение: | ![]() ГОСТ Р 50030.5.1-99 |
| Статус: | заменён |
| Название рус.: | Аппаратура распределения и управления низковольтная. Часть 5.1. Аппараты и коммутационные элементы цепей управления. Электромеханические аппараты для цепей управления |
| Название англ.: | Low-voltage switchgear and controlgear. Part 5.1. Control circuit devices and switching elements. Electromechanical control circuit devices |
| Дата актуализации текста: | 06.04.2015 |
| Дата актуализации описания: | 01.07.2023 |
| Дата издания: | 22.05.2000 |
| Дата введения: | 01.01.2002 |
| Дата окончания срока действия: | 01.01.2007 |
| Код ОКП: | 342000 |
| Заменяющий: | ГОСТ Р 50030.5.1-2005 |
| Содержит требования: | IEC 60947-5-1(1997) |
| Нормативные ссылки: | ГОСТ 2.767-89; ГОСТ 9.005-72; ГОСТ 12.2.007.0-75; ГОСТ 12.2.007.6-75; ГОСТ 15.001-88; ГОСТ 6697-83; ГОСТ 6827-76; ГОСТ 10434-82; ГОСТ 15150-69; ГОСТ 15543.1-89; ГОСТ 16504-81; ГОСТ 16962.1-89; ГОСТ 16962.2-90; ГОСТ 17516.1-90; ГОСТ 18620-86; ГОСТ 21128-83; ГОСТ 23216-78; ГОСТ 28198-89; ГОСТ 28209-89; ГОСТ 28216-89; ГОСТ 28312-89; ГОСТ 29149-91; ГОСТ 29156-91; ГОСТ 29191-91; ГОСТ 30011.4.1-96; ГОСТ Р МЭК 536-94; ГОСТ Р 50514-93 |
| Область применения: | Настоящий стандарт распространяется на аппараты для цепей управления и коммутационные элементы, предназначенные для управления, сигнализации, блокировки и т.д. аппаратуры управления |
| Расположен в: | |























































