| Обозначение: |  ГОСТ Р 40.005-2000 |
| Статус: | отменён |
| Название рус.: | Система сертификации ГОСТ Р. Регистр систем качества. Инспекционный контроль сертифицированных систем качества и производств |
| Название англ.: | GOST R certification system. Quality systems register. Certified quality systems and productions surveillance |
| Дата актуализации текста: | 06.04.2015 |
| Дата актуализации описания: | 01.07.2023 |
| Дата издания: | 01.08.2003 |
| Дата введения: | 01.12.2000 |
| Дата окончания срока действия: | 01.03.2006 |
| Взамен: | ГОСТ Р 40.005-96 |
| Нормативные ссылки: | ГОСТ Р 1.12-99; ГОСТ Р 40.002-2000; ГОСТ Р 40.003-2000; ГОСТ Р ИСО 9001-2001; ГОСТ Р ИСО 10011-1-93; ГОСТ Р ИСО/МЭК 62-2000 |
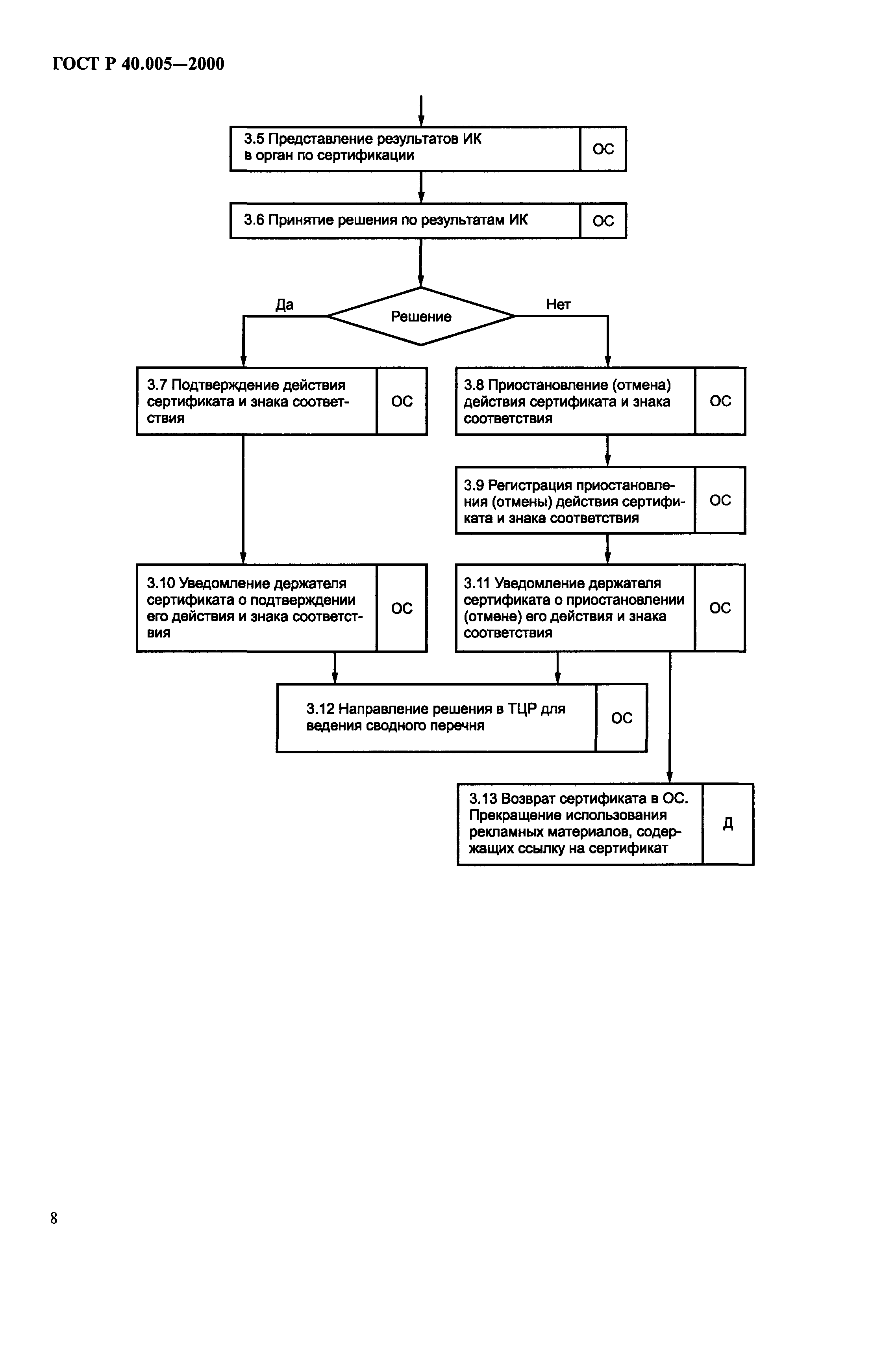
| Область применения: | Настоящий стандарт устанавливает основные правила и порядок проведения инспекционного контроля сертифицированных систем качества и сертифицированных производств, а также правила передачи работ по инспекционному контролю другим органам по сертификации. Стандарт предназначен для применения участниками Регистра систем качества Госстандарта России при проведении инспекционного контроля сертифицированных систем качества и сертифицированных производств организаций |
| Список изменений: | №0 от 01.12.2000 (рег. 16.11.2000) «Утратил силу в РФ» №0 от 01.03.2006 (рег. 14.11.2005) «Текстовое изменение; Изменено заглавие» |
|
| Расположен в: |
|