| ||||||||||||||||||||||||||||||||||||
 Скачать ГОСТ 7449-64 Рыбы лососевые соленые. Технические условияДата актуализации: 01.06.2025
 | ||||||||||||||||||||||||||||||||||||
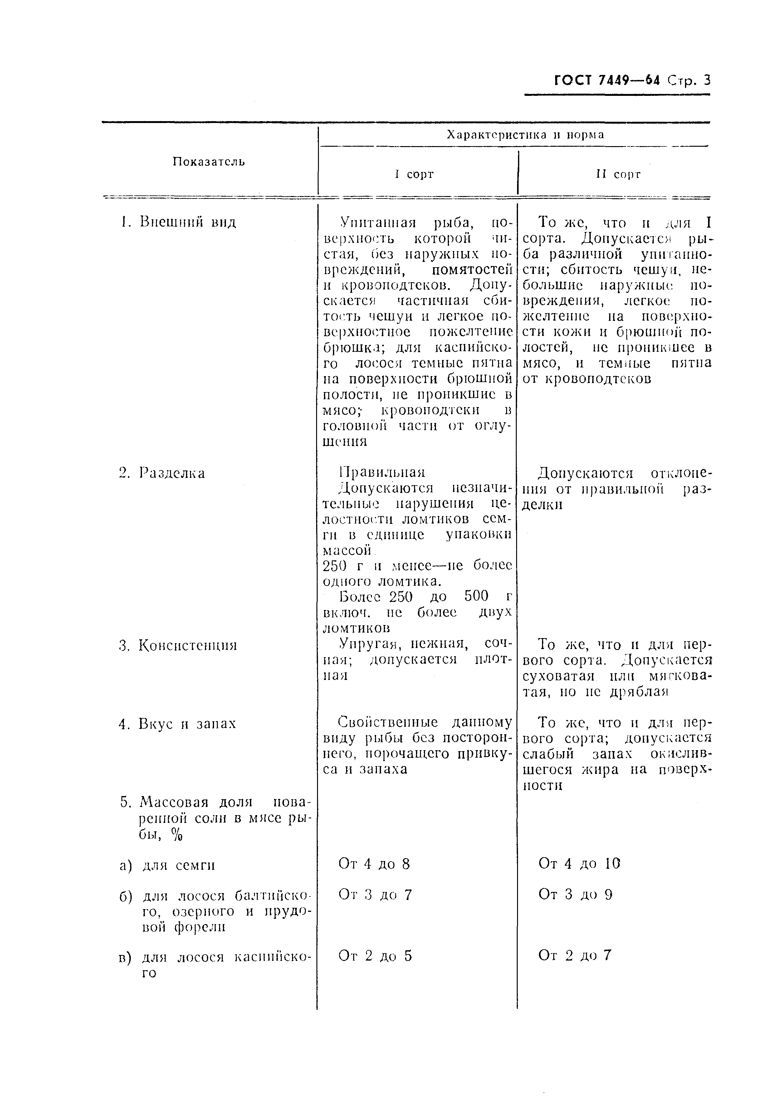
| Обозначение: | ![]()   ГОСТ 7449-64 | 
| Статус: | заменён | 
| Название рус.: | Рыбы лососевые соленые. Технические условия | 
| Название англ.: | Salted salmon. Specifications | 
| Дата актуализации текста: | 06.04.2015 | 
| Дата актуализации описания: | 01.07.2023 | 
| Дата издания: | 01.03.1986 | 
| Дата введения: | 01.01.1966 | 
| Дата окончания срока действия: | 01.01.1998 | 
| Код ОКП: | 926282 | 
| Взамен: |  ГОСТ 7449-55 | 
| Заменяющий: |  ГОСТ 7449-96 | 
| Нормативные ссылки: |  ГОСТ 13496.0-80; ГОСТ 5981-71; ГОСТ 13356-74; ГОСТ 13511-79; ГОСТ 8273-75; ГОСТ 3560-73; ГОСТ 3282-74; ГОСТ 18251-72; ГОСТ 20477-75; ГОСТ 7630-75 | 
| Список изменений: | №2 от 01.04.1982 (рег. 15.01.1982) «Срок действия продлен» №3 от 01.04.1984 (рег. 14.12.1983) «Срок действия продлен» №4 от 01.11.1988 (рег. 15.05.1988) «Срок действия продлен» №5 от 01.04.1991 (рег. 23.08.1990) «Срок действия продлен» №6 от 01.01.1997 (рег. 19.06.1996) «Срок действия продлен»  | 
| Расположен в: | |














