| ||||||||||||||||||||||||||||||||
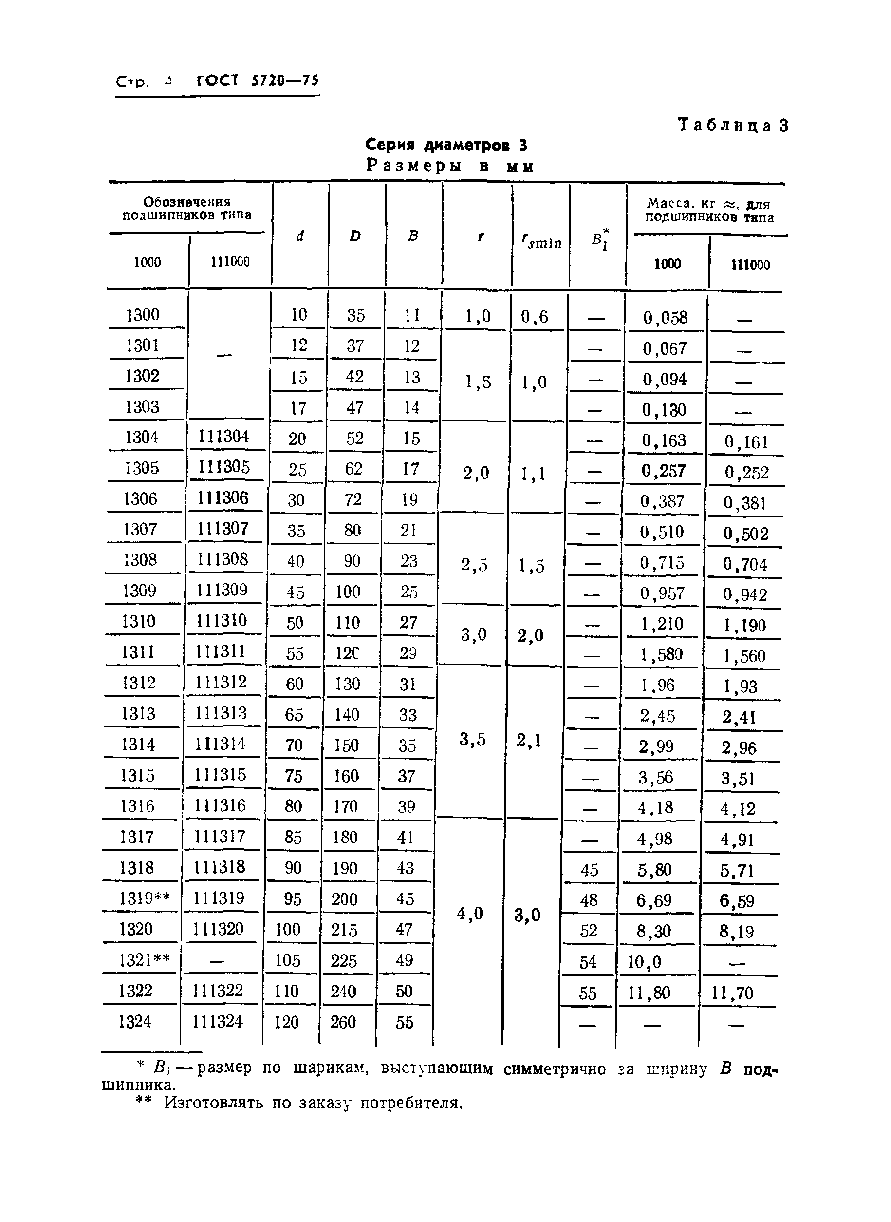
Скачать ГОСТ 5720-75 Подшипники шариковые радиальные сферические двухрядные. Типы и основные размерыДата актуализации: 01.06.2025
| ||||||||||||||||||||||||||||||||
| Обозначение: | ![]() ГОСТ 5720-75 |
| Статус: | заменён |
| Название рус.: | Подшипники шариковые радиальные сферические двухрядные. Типы и основные размеры |
| Название англ.: | Spherical radial ball bearings. Types and boundary dimensions |
| Дата актуализации текста: | 06.04.2015 |
| Дата актуализации описания: | 01.01.2021 |
| Дата введения: | 01.01.1977 |
| Дата окончания срока действия: | 01.01.1991 |
| Код ОКП: | 461300 |
| Взамен: | ГОСТ 5720-51 |
| Заменяющий: | ГОСТ 28428-90 |
| Содержит требования: | СТ СЭВ 4941-84 |
| Расположен в: | |










