| Обозначение: |  ГОСТ Р ИСО 14644-3-2007 |
| Статус: | заменён |
| Название рус.: | Чистые помещения и связанные с ними контролируемые среды. Часть 3. Методы испытаний |
| Название англ.: | Cleanrooms and associated controlled environments. Part 3. Test methods |
| Дата актуализации текста: | 06.04.2015 |
| Дата актуализации описания: | 01.07.2023 |
| Дата издания: | 06.06.2008 |
| Дата введения: | 01.10.2008 |
| Дата окончания срока действия: | 01.09.2021 |
| Код ОКП: | 630000;940000 |
| Заменяющий: | ГОСТ Р ИСО 14644-3-2020 |
| Аутентичен стандартам: | ISO 14644-3:2005 |
| Нормативные ссылки: | ISO 7726:1998;ISO 14644-1:1999;ISO 14644-2:2000;ISO14644-4:2001 |
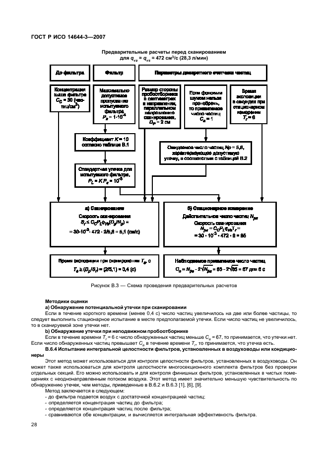
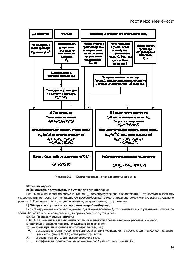
| Область применения: | Настоящий стандарт устанавливает метрологические характеристики и методы испытаний чистых помещений и чистых зон для определения класса чистоты. В стандарте приведены методы испытаний для двух типов чистых помещений и чистых зон (с однонаправленным и неоднонаправленным потоком воздуха) и для трех состояний чистого помещения (построенное, оснащенное, эксплуатируемое) |
| Список изменений: | №0 от 28.11.2014 (рег. 28.11.2014) «Дата введения перенесена» |
| Приложение №1: | Поправка к ГОСТ Р ИСО 14644-3-2007 |
|
| Расположен в: |
|