| Обозначение: |  ГОСТ ИСО 8041-2006 |
| Статус: | не действует в РФ |
| Название рус.: | Вибрация. Воздействие вибрации на человека. Средства измерений |
| Название англ.: | Vibration. Human response to vibration. Measuring instrumentation |
| Дата актуализации текста: | 01.01.2021 |
| Дата актуализации описания: | 01.07.2023 |
| Дата регистрации: | 24.06.2006 |
| Дата издания: | 05.05.2008 |
| Дата введения: | 01.07.2008 |
| Дата окончания срока действия: | 01.09.2022 |
| Взамен: | ГОСТ 12.4.012-83 |
| Аутентичен стандартам: | ISO 8041:2005 |
| На территории РФ пользоваться: | ГОСТ Р 59701.1-2022 |
| Нормативные ссылки: | ISO 2041:1990;ISO 2631-1:1997;ISO 2631-2:2003;ISO 2631-4:2001;ISO 5347;ISO 5348:1998;ISO 5349-1:2001;ISO 16063;IEC 61000-4-2(2001);IEC 61000-4-3(2002);IEC 61000-4-6(2004);IEC 61000-6-2(2005);CISPR 22(2003) |
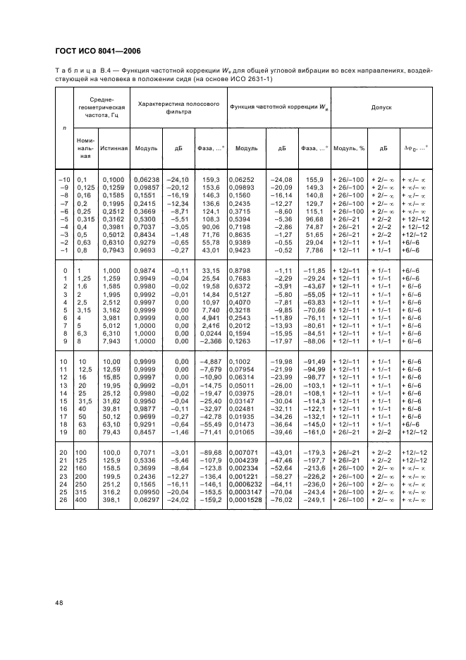
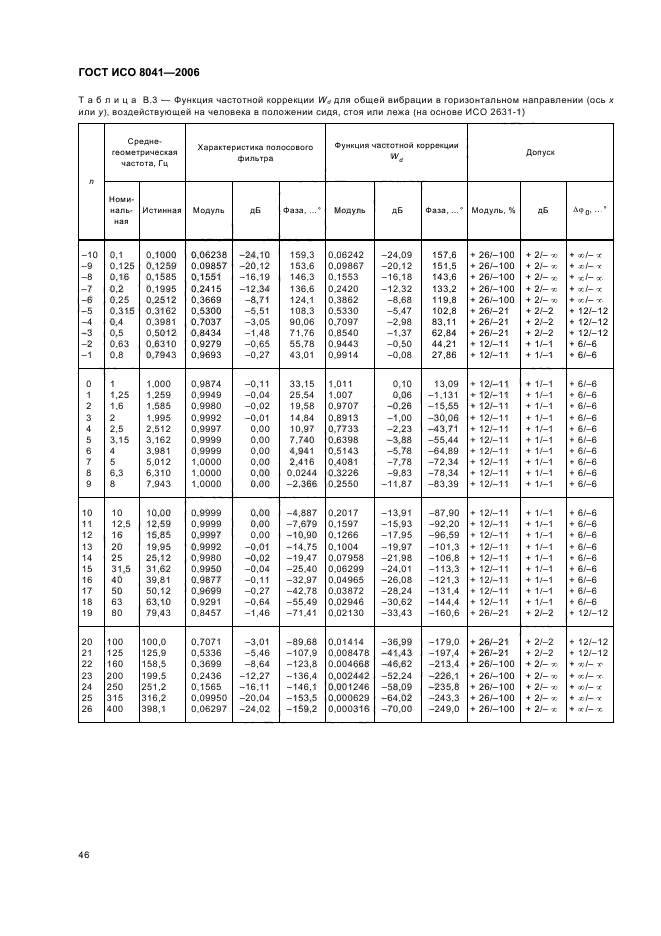
| Область применения: | Настоящий стандарт устанавливает требования к характеристикам средств измерений параметров ускорения, используемых при оценке воздействия вибрации на человека, а также методам подтверждения этих характеристик в процессе испытаний: для целей утверждения типа, первичной и повторной поверок и проверки работоспособности на месте (в условиях применения средства измерений). Настоящий стандарт распространяется на все виды исполнения средства измерений: в виде отдельного блока, совокупности устройств или компьютеризованной системы сбора и анализа данных |
| Список изменений: | №0 от 30.06.2009 (рег. 30.06.2009) «Дата введения перенесена» №0 от 20.02.2016 (рег. 20.02.2016) «Дата введения перенесена» |
| Приложение №1: | Поправка к ГОСТ ИСО 8041-2006 |
| Приложение №2: | Поправка к ГОСТ ИСО 8041-2006 |
|
| Расположен в: |
|