| Обозначение: |  ГОСТ Р ИСО 14738-2007 |
| Статус: | действующий |
| Название рус.: | Безопасность машин. Антропометрические требования при проектировании рабочих мест машин |
| Название англ.: | Safety of machinery. Anthropometric requirements for the design of workstations at machinery |
| Дата актуализации текста: | 06.04.2015 |
| Дата актуализации описания: | 01.07.2023 |
| Дата издания: | 16.04.2008 |
| Дата введения: | 01.06.2008 |
| Аутентичен стандартам: | ISO 14738:2002 |
| Нормативные ссылки: | ISO 13852:1996;ISO 15534-1:2000;ISO 15534-2:2000;ISO 15534-3:2000;ISO 7250:1996;ISO 9241-5:2003 |
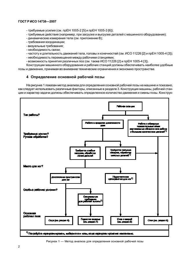
| Область применения: | Настоящий стандарт устанавливает принципы получения размерных данных по антропометрическим измерениям и применения их при проектировании рабочих станций стационарного машинного оборудования. Настоящий стандарт основан на современных эргономических знаниях и антропометрических размерах. Настоящий стандарт определяет пространственные требования тела для оборудования при обычной работе в сидячем и стоячем положениях. Настоящий стандарт не включает специальные требования работ по техническому обслуживанию, ремонту и чистке |
|
| Расположен в: |
|