| Обозначение: |    ГОСТ 12947-67 | 
| Статус: | действующий | 
| Название рус.: | Плиты стальные для станочных приспособлений. Конструкция | 
| Название англ.: | Steel plates for machine retaining devices. Design and dimensions | 
| Дата актуализации текста: | 06.04.2015 | 
| Дата актуализации описания: | 01.07.2023 | 
| Дата издания: | 01.12.1988 | 
| Дата введения: | 01.01.1968 | 
| Код ОКП: | 396100 | 
| Взамен: | МН 3181-62 | 
| Нормативные ссылки: |  ГОСТ 380-71; ГОСТ 10356-63 | 
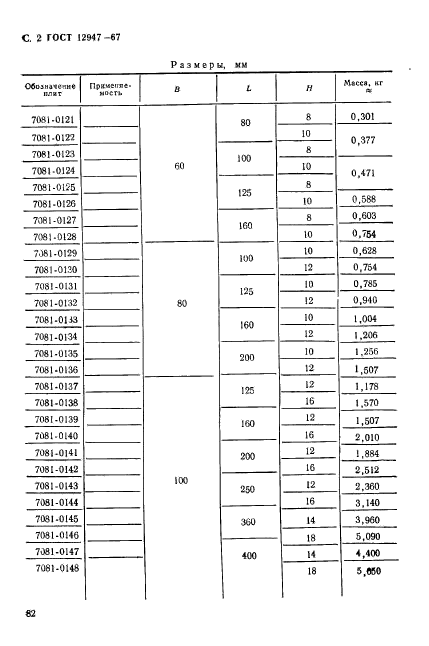
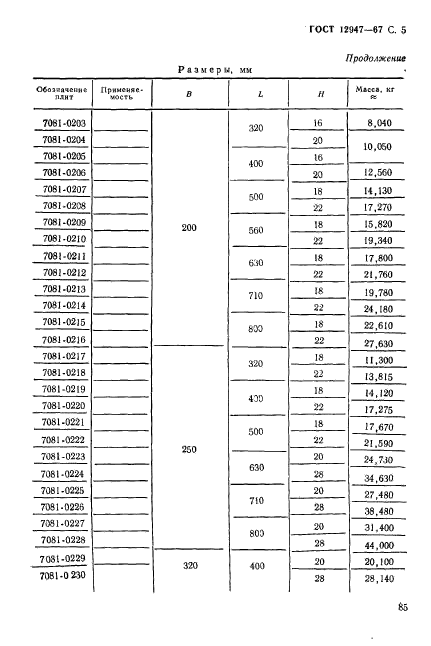
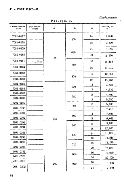
| Область применения: | Настоящий стандарт устанавливает конструкцию и размеры стальных плит для станочных приспособлений | 
| Список изменений: | №1 от 01.12.1980 (рег. 29.06.1980) «Срок действия продлен» №2 от 01.01.1989 (рег. 17.03.1988) «Поправка» | 
 | 
| Расположен в: | 
  |