| Обозначение: |    ГОСТ 13152-67 | 
| Статус: | действующий | 
| Название рус.: | Болты к пазам станочным обработанным. Конструкция | 
| Название англ.: | Bolts for machine slots. Design and dimensions | 
| Дата актуализации текста: | 06.04.2015 | 
| Дата актуализации описания: | 01.07.2023 | 
| Дата издания: | 01.05.1990 | 
| Дата введения: | 01.07.1968 | 
| Код ОКП: | 396100 | 
| Взамен: | МН 4381-63 | 
| Нормативные ссылки: |  ГОСТ 1050-74; ГОСТ 16093-70; ГОСТ 10549-63; ГОСТ 9.073-77;СТ СЭВ 182-75 | 
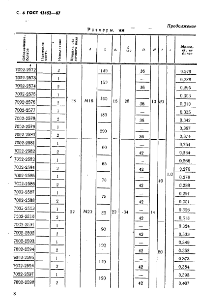
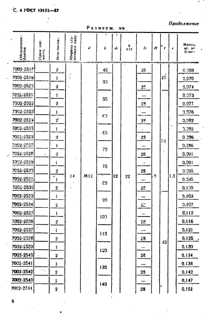
| Область применения: | Настоящий стандарт устанавливает конструкцию и размеры болтов к станочным обработанным пазам | 
| Список изменений: | №1 от 01.12.1980 (рег. 29.06.1980) «Срок действия продлен» №2 от 01.01.1989 (рег. 17.03.1988) «Поправка» №3 от 01.01.1990 (рег. 10.05.1989) «Срок действия продлен» | 
 | 
| Расположен в: | 
  |