| Обозначение: |  ГОСТ 8193-73 |
| Статус: | заменён |
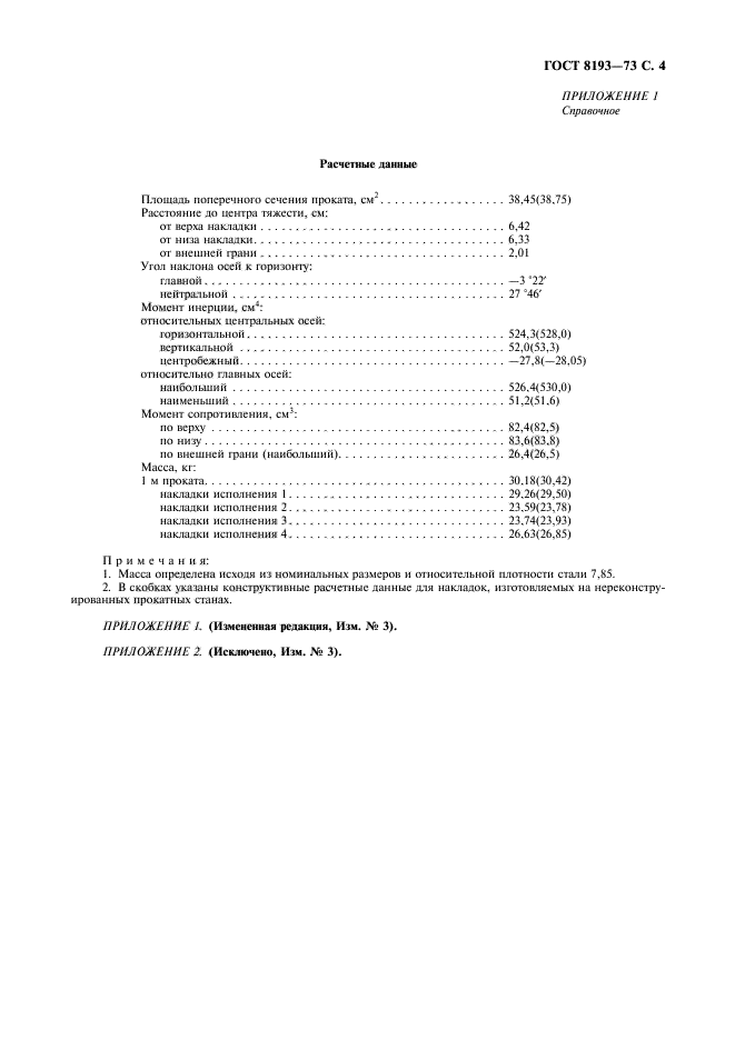
| Название рус.: | Накладки двухголовые к рельсам типов Р65 и Р75. Конструкция и размеры |
| Название англ.: | Double headed fishplates for Р65, Р75 rails. Design and dimensions |
| Дата актуализации текста: | 06.04.2015 |
| Дата актуализации описания: | 01.07.2023 |
| Дата издания: | 01.08.1998 |
| Дата введения: | 01.01.1975 |
| Дата окончания срока действия: | 01.07.2015 |
| Код ОКП: | 113100 |
| Взамен: | ГОСТ 8193-56 |
| Заменяющий: | ГОСТ 33184-2014 |
| Нормативные ссылки: | ГОСТ 4133-73;СТ СЭВ 1669-79 |
| Область применения: | Настоящий стандарт распространяется на стыковые двухголовые накладки к железнодорожным рельсам типов Р65 и Р75 |
| Список изменений: | №1 от 01.04.1980 (рег. 14.11.1979) «Срок действия продлен» №2 от 01.07.1981 (рег. 14.04.1981) «Срок действия продлен» №3 от 01.07.1990 (рег. 22.12.1989) «Срок действия продлен» |
|
| Расположен в: |
|